
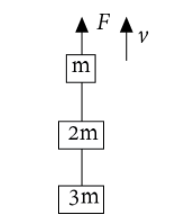
Three blocks with masses $m,2m$and $3m$are connected by strings as shown in the figure. After an upward force $F$ is applied on block $m$ , the masses move upward at constant speed $v$ . What is the net force on the block of mass $2m$ .
$\begin{align}
& (a)Zero \\
& (b)2mg \\
& (c)3mg \\
& (d)6mg \\
\end{align}$
Answer
525.3k+ views
Hint: We will use Newton’s Second Law of Motion which states that, the rate of change of momentum is directly proportional to the applied force. This theorem is applied here because we can see there is a force acting on the system but the system has a constant velocity, so finding the rate of change of momentum will help build our solution.
Complete answer:
We have to calculate the net force on the block of mass $2m$ , that is the block in the middle of the diagram.
Given that, after applying an upward force $(F)$ , all the masses move upwards with a constant velocity , that is, the whole system is moving upwards with a constant velocity.
This implies that the block of mass $2m$ is also moving upwards with a constant velocity.
Therefore, the net change in momentum of the block with respect to time is $Zero$ .
Hence, the net force applied on the block is also $Zero$.
Hence, option $(a)$ is the correct option.
Note:
Sometimes the data given in the question may not be of any use in the solution. So, we should first very carefully analyze the problem, as there may not be any need for unnecessary calculations which will further take more time to solve. Also, these questions are basic applications of some very common laws of Physics, so one should try to solve them quickly and correctly to save more time and get more marks.
Complete answer:
We have to calculate the net force on the block of mass $2m$ , that is the block in the middle of the diagram.
Given that, after applying an upward force $(F)$ , all the masses move upwards with a constant velocity , that is, the whole system is moving upwards with a constant velocity.
This implies that the block of mass $2m$ is also moving upwards with a constant velocity.
Therefore, the net change in momentum of the block with respect to time is $Zero$ .
Hence, the net force applied on the block is also $Zero$.
Hence, option $(a)$ is the correct option.
Note:
Sometimes the data given in the question may not be of any use in the solution. So, we should first very carefully analyze the problem, as there may not be any need for unnecessary calculations which will further take more time to solve. Also, these questions are basic applications of some very common laws of Physics, so one should try to solve them quickly and correctly to save more time and get more marks.
Recently Updated Pages
Why are manures considered better than fertilizers class 11 biology CBSE

Find the coordinates of the midpoint of the line segment class 11 maths CBSE

Distinguish between static friction limiting friction class 11 physics CBSE

The Chairman of the constituent Assembly was A Jawaharlal class 11 social science CBSE

The first National Commission on Labour NCL submitted class 11 social science CBSE

Number of all subshell of n + l 7 is A 4 B 5 C 6 D class 11 chemistry CBSE

Trending doubts
What is meant by exothermic and endothermic reactions class 11 chemistry CBSE

10 examples of friction in our daily life

One Metric ton is equal to kg A 10000 B 1000 C 100 class 11 physics CBSE

1 Quintal is equal to a 110 kg b 10 kg c 100kg d 1000 class 11 physics CBSE

Difference Between Prokaryotic Cells and Eukaryotic Cells

What are Quantum numbers Explain the quantum number class 11 chemistry CBSE

