
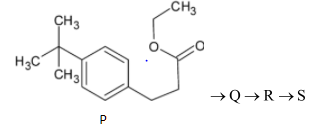
The reaction, Q to R and R to S, are:
A. Dehydration and Friedel-Crafts acylation
B. Friedel-Crafts alkylation
C. Friedel-Crafts alkylation, dehydration and Friedel-Crafts acylation
D. Aromatic sulfonation and Friedel-Crafts acylation
Answer
555.3k+ views
Hint:
Friedel reaction is the introduction of alkyl or acyl groups into an aromatic structure in the presence of acid catalyst. They are of two types-Friedel Craft acylation and Friedel Craft alkylation.
While dehydration is the process of removal of water molecules from a compound. Aromatic sulfonation is a reaction in which ${\text{ - S}}{{\text{O}}_3}{\text{H}}$ group is attached to an aryl group.
Complete step by step solution:
The complete reaction mechanism of production of compounds Q, R, S from compound P is given below:
In the initial step, the given compound P is reacted with Grignard reagent, ${\text{C}}{{\text{H}}_3}{\text{MgBr}}$ in the presence of a solvent, ether, ${{\text{C}}_2}{{\text{H}}_5}{\text{O}}{{\text{C}}_2}{{\text{H}}_5}$. It produces an adduct with the Grignard reagent. It is then undergone hydrolysis which produces alcohol. This is the compound Q. This compound undergoes dehydration reaction in the presence of concentrated sulfuric acid. This compound having a carbocation, undergoes further Friedel Craft alkylation in which the compound is reacted with alkyl halide to produce a cyclopentane ring attached to the benzene group. This is further undergone by Friedel Craft acylation in which the compound is reacted with the acyl chloride in the presence of aluminium chloride. It produces an aryl ketone.
Thus the reactions Q to R and R to S involve Friedel Craft alkylation, dehydration and Friedel Craft acylation.
Hence the correct option is C.
Note: Friedel Craft alkylation reaction is a type of electrophilic substitution. It involves an intermediate which is a carbocation. Commonly used alkylating agents are alkyl halides, alkenes, alcohols, etc. Also the most commonly used catalysts should be Lewis acids. They are ${\text{AlC}}{{\text{l}}_3}$ and ${\text{B}}{{\text{F}}_3}$.
Friedel reaction is the introduction of alkyl or acyl groups into an aromatic structure in the presence of acid catalyst. They are of two types-Friedel Craft acylation and Friedel Craft alkylation.
While dehydration is the process of removal of water molecules from a compound. Aromatic sulfonation is a reaction in which ${\text{ - S}}{{\text{O}}_3}{\text{H}}$ group is attached to an aryl group.
Complete step by step solution:
The complete reaction mechanism of production of compounds Q, R, S from compound P is given below:
In the initial step, the given compound P is reacted with Grignard reagent, ${\text{C}}{{\text{H}}_3}{\text{MgBr}}$ in the presence of a solvent, ether, ${{\text{C}}_2}{{\text{H}}_5}{\text{O}}{{\text{C}}_2}{{\text{H}}_5}$. It produces an adduct with the Grignard reagent. It is then undergone hydrolysis which produces alcohol. This is the compound Q. This compound undergoes dehydration reaction in the presence of concentrated sulfuric acid. This compound having a carbocation, undergoes further Friedel Craft alkylation in which the compound is reacted with alkyl halide to produce a cyclopentane ring attached to the benzene group. This is further undergone by Friedel Craft acylation in which the compound is reacted with the acyl chloride in the presence of aluminium chloride. It produces an aryl ketone.
Thus the reactions Q to R and R to S involve Friedel Craft alkylation, dehydration and Friedel Craft acylation.
Hence the correct option is C.
Note: Friedel Craft alkylation reaction is a type of electrophilic substitution. It involves an intermediate which is a carbocation. Commonly used alkylating agents are alkyl halides, alkenes, alcohols, etc. Also the most commonly used catalysts should be Lewis acids. They are ${\text{AlC}}{{\text{l}}_3}$ and ${\text{B}}{{\text{F}}_3}$.
Recently Updated Pages
Master Class 11 Economics: Engaging Questions & Answers for Success

Master Class 11 English: Engaging Questions & Answers for Success

Master Class 11 Social Science: Engaging Questions & Answers for Success

Master Class 11 Biology: Engaging Questions & Answers for Success

Class 11 Question and Answer - Your Ultimate Solutions Guide

Master Class 11 Business Studies: Engaging Questions & Answers for Success

Trending doubts
What is meant by exothermic and endothermic reactions class 11 chemistry CBSE

10 examples of friction in our daily life

One Metric ton is equal to kg A 10000 B 1000 C 100 class 11 physics CBSE

Difference Between Prokaryotic Cells and Eukaryotic Cells

What are Quantum numbers Explain the quantum number class 11 chemistry CBSE

1 Quintal is equal to a 110 kg b 10 kg c 100kg d 1000 class 11 physics CBSE

