
The reaction of the given compound with HBr gives:
A.
B.
C.
D.
Answer
359.7k+ views
Hint: The addition of hydrogen bromide to an alkene is an electrophilic addition reaction. This reaction takes place according to Markownikoff’s rule. It states that when HBr is added to a carbon-carbon double bond of an alkene, the negative part of the reagent is added to the more substituted carbon atom.
Complete Step by Step Answer:
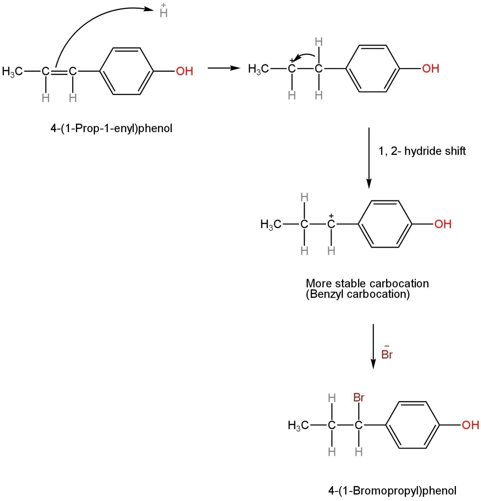
The given compound has the following structure.
Its IUPAC name is 4-(1-Prop-1-enyl)phenol.
It contains an aliphatic portion comprising three carbon atoms and an aromatic portion comprising a benzene ring.
The aliphatic part has a three-membered carbon chain including a carbon-carbon double bond.
This reaction happens in three steps.
Proton from HBr is contributed to a double-bonded alkene group forming a secondary carbocation.
This secondary carbonation undergoes rearrangement to form a more stable benzyl carbocation through a 1,2-hydride shift.
Due to the formation of this carbocation, the positive charge on the carbon atom gets delocalized due to resonance.
The mechanism is as follows:
Image: Mechanism of formation of 4-(1-Bromopropyl)phenol.
This stable benzyl carbocation then takes a bromide ion to form 4-(1-Bromopropyl)phenol.
4-(1-Prop-1-enyl)phenol on reaction with HBr forms 4-(1-Bromopropyl)phenol
as a major product.
The structure of 4-(1-Bromopropyl)phenol is represented by option C.
So, option C is correct.
Note: Benzyl and allyl carbocations are the most stable carbocation followed by tertiary, secondary, primary, and methyl. 1,2 Hydride Shift is a change in configuration reaction in which hydrogen shifts from one carbon atom to another carbon in a chemical compound. This tendency of movement concerns two adjacent atoms. This occurs to produce a more stable carbocation.
Complete Step by Step Answer:
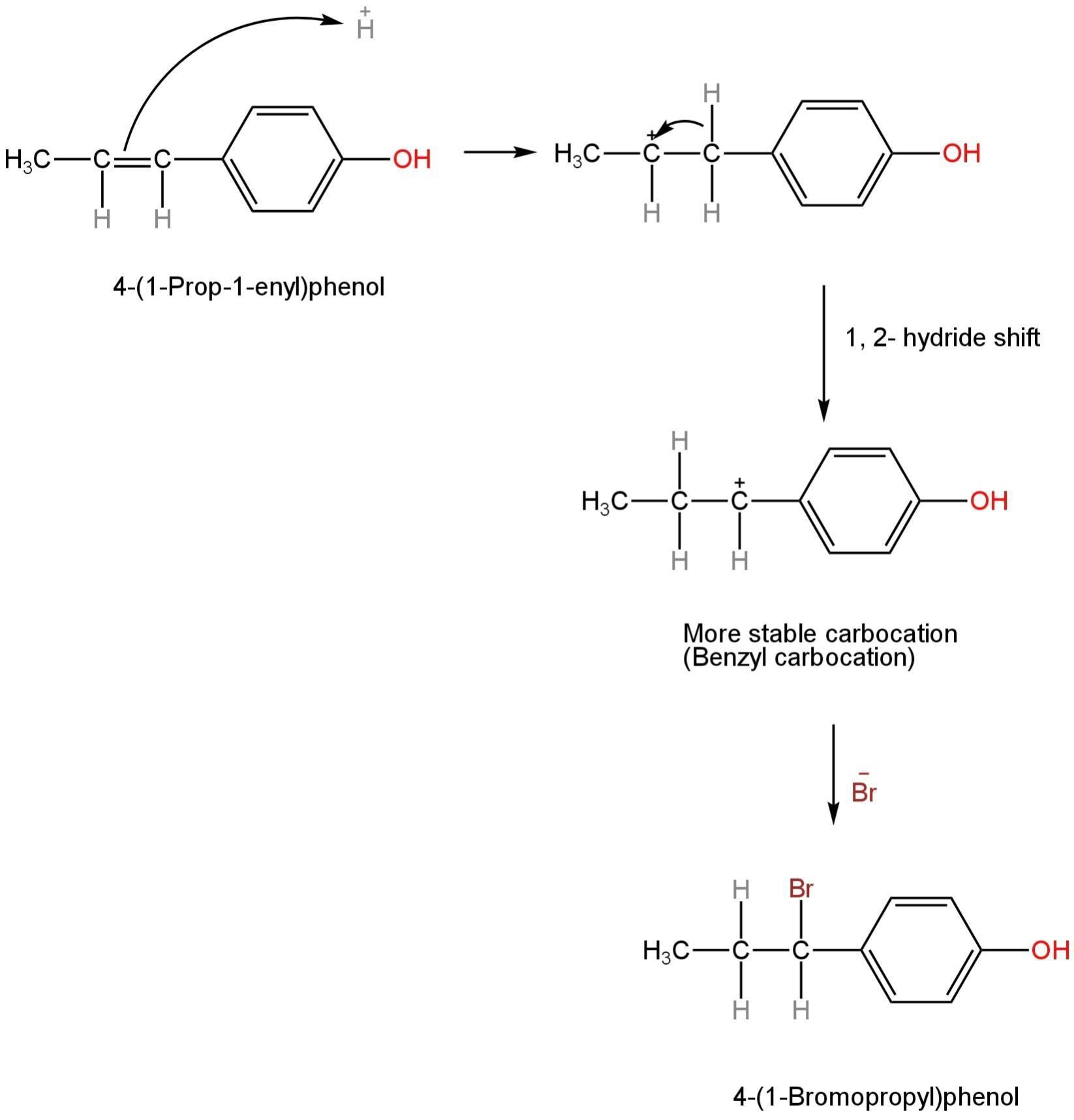
The given compound has the following structure.
Its IUPAC name is 4-(1-Prop-1-enyl)phenol.
It contains an aliphatic portion comprising three carbon atoms and an aromatic portion comprising a benzene ring.
The aliphatic part has a three-membered carbon chain including a carbon-carbon double bond.
This reaction happens in three steps.
Proton from HBr is contributed to a double-bonded alkene group forming a secondary carbocation.
This secondary carbonation undergoes rearrangement to form a more stable benzyl carbocation through a 1,2-hydride shift.
Due to the formation of this carbocation, the positive charge on the carbon atom gets delocalized due to resonance.
The mechanism is as follows:
Image: Mechanism of formation of 4-(1-Bromopropyl)phenol.
This stable benzyl carbocation then takes a bromide ion to form 4-(1-Bromopropyl)phenol.
4-(1-Prop-1-enyl)phenol on reaction with HBr forms 4-(1-Bromopropyl)phenol
as a major product.
The structure of 4-(1-Bromopropyl)phenol is represented by option C.
So, option C is correct.
Note: Benzyl and allyl carbocations are the most stable carbocation followed by tertiary, secondary, primary, and methyl. 1,2 Hydride Shift is a change in configuration reaction in which hydrogen shifts from one carbon atom to another carbon in a chemical compound. This tendency of movement concerns two adjacent atoms. This occurs to produce a more stable carbocation.
Recently Updated Pages
Master Class 11 Chemistry: Engaging Questions & Answers for Success

Master Class 10 General Knowledge: Engaging Questions & Answers for Success

Master Class 10 Computer Science: Engaging Questions & Answers for Success

Master Class 12 English: Engaging Questions & Answers for Success

Master Class 10 English: Engaging Questions & Answers for Success

Master Class 10 Social Science: Engaging Questions & Answers for Success

Trending doubts
What is BLO What is the full form of BLO class 8 social science CBSE

What is meant by exothermic and endothermic reactions class 11 chemistry CBSE

Which places in India experience sunrise first and class 9 social science CBSE

The shortest day of the year in India

What are the major means of transport Explain each class 12 social science CBSE

Which are the Top 10 Largest Countries of the World?

