
The reaction of sodium acetate and soda lime gives:
A. butane
B. ethane
C. methane
D. propane
Answer
572.1k+ views
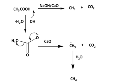
Hint: When Soda lime reacts with substrate, decarboxylation from the substrate happens. The formula of soda lime is \[NaOH + CaO\] . Sodium acetate is the sodium salt of acetic acid, which can be formed by reaction of sodium hydroxide which is a base and acetic acid. They undergo acid base reaction and form salt and water.
Complete step by step answer:
This reaction with soda lime is generally used to prepare alkanes from carboxylic acids. In this reaction the number of carbon atoms from the reactant is get decreased by one unit in terms of carbon dioxide
\[\left( {C{O_2}} \right).\]
The reaction equation of this reaction is,
\[C{H_3}COONa\xrightarrow{{NaOH/CaO}}C{H_4} + C{O_{2\,}}\, \uparrow \]
In this reaction \[CaO\] which is lime. It is a gray-white colored solid that can be produced in huge amounts by heating of \[\;CaC{O_3}\] . On heating \[\;CaC{O_3}\] emits \[C{O_2}\] and forms \[CaO\]. This \[CaO\] can easily absorb carbon dioxide at room temperature from the air.
The reaction of sodium acetate with lime gives methane and sodium carbonate.
Hence, option C is correct.
Note:
In the case of \[{{\alpha }}\] -keto carboxylic acid decarboxylation can also be done by normal heating. This is also called oxidative decarboxylation. By this decarboxylation corresponding ketone is formed. The mechanism is shown below.
Due to presence of ketone group at alpha position reaction gets fascinated by formation of 6-membered cyclic arrangement for decarboxylation. In this reaction an enol is formed which undergoes tautomerization to form ketone.
Complete step by step answer:
This reaction with soda lime is generally used to prepare alkanes from carboxylic acids. In this reaction the number of carbon atoms from the reactant is get decreased by one unit in terms of carbon dioxide
\[\left( {C{O_2}} \right).\]
The reaction equation of this reaction is,
\[C{H_3}COONa\xrightarrow{{NaOH/CaO}}C{H_4} + C{O_{2\,}}\, \uparrow \]
In this reaction \[CaO\] which is lime. It is a gray-white colored solid that can be produced in huge amounts by heating of \[\;CaC{O_3}\] . On heating \[\;CaC{O_3}\] emits \[C{O_2}\] and forms \[CaO\]. This \[CaO\] can easily absorb carbon dioxide at room temperature from the air.
The reaction of sodium acetate with lime gives methane and sodium carbonate.
Hence, option C is correct.
Note:
In the case of \[{{\alpha }}\] -keto carboxylic acid decarboxylation can also be done by normal heating. This is also called oxidative decarboxylation. By this decarboxylation corresponding ketone is formed. The mechanism is shown below.
Due to presence of ketone group at alpha position reaction gets fascinated by formation of 6-membered cyclic arrangement for decarboxylation. In this reaction an enol is formed which undergoes tautomerization to form ketone.
Recently Updated Pages
Why are manures considered better than fertilizers class 11 biology CBSE

Find the coordinates of the midpoint of the line segment class 11 maths CBSE

Distinguish between static friction limiting friction class 11 physics CBSE

The Chairman of the constituent Assembly was A Jawaharlal class 11 social science CBSE

The first National Commission on Labour NCL submitted class 11 social science CBSE

Number of all subshell of n + l 7 is A 4 B 5 C 6 D class 11 chemistry CBSE

Trending doubts
Differentiate between an exothermic and an endothermic class 11 chemistry CBSE

10 examples of friction in our daily life

One Metric ton is equal to kg A 10000 B 1000 C 100 class 11 physics CBSE

Difference Between Prokaryotic Cells and Eukaryotic Cells

1 Quintal is equal to a 110 kg b 10 kg c 100kg d 1000 class 11 physics CBSE

State the laws of reflection of light

