
The product(s) show white ppt:
(A) Immediate
(B) After $ 5 $ min
(C) No ppt. at room temperature
(D) No reaction
Answer
523.8k+ views
Hint: Lucas reagent is a solution of anhydrous zinc chloride in the concentrated hydrochloric acid. This is basically the alcohol test. It will be helpful in determining the order of the alcohol whether it is primary, secondary or tertiary. The white ppt shows the presence of Cl negative ion that is the cream colored substance by adding the silver nitrate solution to any substance.
Complete step by step answer:
In the given question, coming to the first catalyst when PCC with two moles comes in the oxidation it will give;
After this going to Q, catalyst with one mole then in the product, we get;
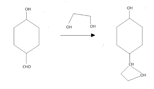
After this, going to Q to R here there are two catalysts . First one is the Grignard reagent and the second one is the H positive ion with water, the OH group will break out and the CH will become methyl group.
Lucas reagent is a solution of anhydrous zinc chloride in the concentrated hydrochloric acid. This is basically the alcohol test. It will be helpful in determining the order of the alcohol whether it is primary, secondary or tertiary.
Here when it react with R to give;
Here it is the third degree alcohol that is the tertiary alcohol. It is stable and will form the white ppt immediately as it gives turbidity.
Hence, the correct answer is option (A).
Note:
Chemical reaction involves chemical changes occurring within the substances, giving rise to a new element under certain conditions. The white ppt shows the presence of Cl negative ion that is the cream colored substance by adding the silver nitrate solution to any substance.
Complete step by step answer:
In the given question, coming to the first catalyst when PCC with two moles comes in the oxidation it will give;
After this going to Q, catalyst with one mole then in the product, we get;
After this, going to Q to R here there are two catalysts . First one is the Grignard reagent and the second one is the H positive ion with water, the OH group will break out and the CH will become methyl group.
Lucas reagent is a solution of anhydrous zinc chloride in the concentrated hydrochloric acid. This is basically the alcohol test. It will be helpful in determining the order of the alcohol whether it is primary, secondary or tertiary.
Here when it react with R to give;
Here it is the third degree alcohol that is the tertiary alcohol. It is stable and will form the white ppt immediately as it gives turbidity.
Hence, the correct answer is option (A).
Note:
Chemical reaction involves chemical changes occurring within the substances, giving rise to a new element under certain conditions. The white ppt shows the presence of Cl negative ion that is the cream colored substance by adding the silver nitrate solution to any substance.
Recently Updated Pages
Why are manures considered better than fertilizers class 11 biology CBSE

Find the coordinates of the midpoint of the line segment class 11 maths CBSE

Distinguish between static friction limiting friction class 11 physics CBSE

The Chairman of the constituent Assembly was A Jawaharlal class 11 social science CBSE

The first National Commission on Labour NCL submitted class 11 social science CBSE

Number of all subshell of n + l 7 is A 4 B 5 C 6 D class 11 chemistry CBSE

Trending doubts
Differentiate between an exothermic and an endothermic class 11 chemistry CBSE

10 examples of friction in our daily life

One Metric ton is equal to kg A 10000 B 1000 C 100 class 11 physics CBSE

Difference Between Prokaryotic Cells and Eukaryotic Cells

1 Quintal is equal to a 110 kg b 10 kg c 100kg d 1000 class 11 physics CBSE

State the laws of reflection of light

