
The products (A) and (B) are respectively
Answer
549.9k+ views
Hint: In the first reaction alkyl halide in presence of the base undergoes the nucleophilic substitution reaction. In the second reaction, unsaturated alkene reacts with hydrogen bromide in presence of peroxide leads to give the product as per the anti-Markovnikov rule.
Complete solution:
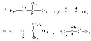
Alkyl halide on reaction with a base like sodium ethoxide as given in reaction number (i) shows nucleophilic substitution reaction.
The mechanism of the reaction is as follows:
Here, we can see as bromide removed carbocation is formed which is secondary carbocation which is undergoing hydride shift and forms tertiary carbocation. Then the nucleophile that is ethoxide ion attacks at the carbocation and gives the product that is 2-ethoxy-2-methyl butane.
In the case of the second reaction alkene in presence of hydrogen bromide shows that is the anti-Markovnikov rule.
According to the anti-Markovnikov rule, the negative part of the reagent is bonded to the less substituted carbon atom.Here, the alkene is 2-methylbut-2-ene that is asymmetric to different products.
Here, we can see that in the first step of the reaction the radicals are formed. The formed radical then reacts with the alkene leads to form two intermediates which then results in two different products. Among them, the less substituted product is major as per the anti-Markovnikov rule.
Here, the major product of the reaction is 1-bromo-2-methyl butane.
Hence, the option (B) is the correct answer to the question.
Note: Reaction of an alkyl halide with base is either nucleophilic substitution or elimination where halide ion is removed from the alkyl halide. Among the hydrogen halides, only hydrogen bromide shows the peroxide effect. The peroxide effect is also known as the anti-Markovnikov effect.
Complete solution:
Alkyl halide on reaction with a base like sodium ethoxide as given in reaction number (i) shows nucleophilic substitution reaction.
The mechanism of the reaction is as follows:
Here, we can see as bromide removed carbocation is formed which is secondary carbocation which is undergoing hydride shift and forms tertiary carbocation. Then the nucleophile that is ethoxide ion attacks at the carbocation and gives the product that is 2-ethoxy-2-methyl butane.
In the case of the second reaction alkene in presence of hydrogen bromide shows that is the anti-Markovnikov rule.
According to the anti-Markovnikov rule, the negative part of the reagent is bonded to the less substituted carbon atom.Here, the alkene is 2-methylbut-2-ene that is asymmetric to different products.
Here, we can see that in the first step of the reaction the radicals are formed. The formed radical then reacts with the alkene leads to form two intermediates which then results in two different products. Among them, the less substituted product is major as per the anti-Markovnikov rule.
Here, the major product of the reaction is 1-bromo-2-methyl butane.
Hence, the option (B) is the correct answer to the question.
Note: Reaction of an alkyl halide with base is either nucleophilic substitution or elimination where halide ion is removed from the alkyl halide. Among the hydrogen halides, only hydrogen bromide shows the peroxide effect. The peroxide effect is also known as the anti-Markovnikov effect.
Recently Updated Pages
Master Class 12 English: Engaging Questions & Answers for Success

Master Class 12 Economics: Engaging Questions & Answers for Success

Master Class 12 Social Science: Engaging Questions & Answers for Success

Master Class 12 Maths: Engaging Questions & Answers for Success

Master Class 12 Chemistry: Engaging Questions & Answers for Success

Master Class 12 Business Studies: Engaging Questions & Answers for Success

Trending doubts
What are the major means of transport Explain each class 12 social science CBSE

Which are the Top 10 Largest Countries of the World?

Draw a labelled sketch of the human eye class 12 physics CBSE

Explain sex determination in humans with line diag class 12 biology CBSE

The pH of the pancreatic juice is A 64 B 86 C 120 D class 12 biology CBSE

Explain sex determination in humans with the help of class 12 biology CBSE

