
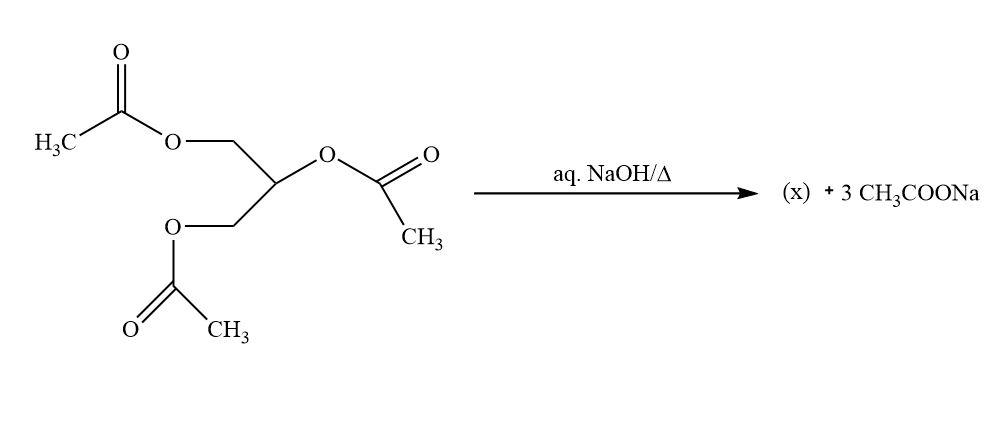
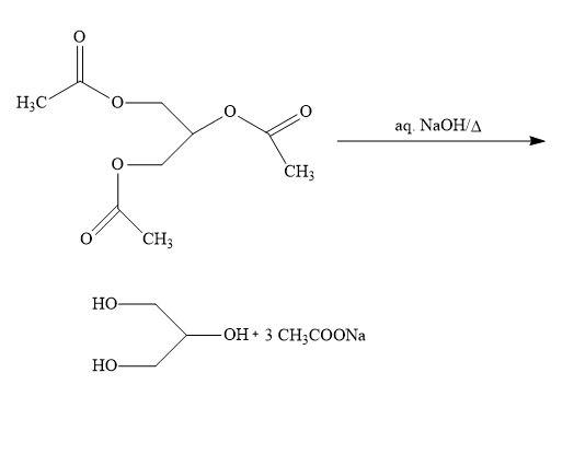
The product X on oxidation with $HI{O_4}$ gives
A. $HCHO$
B. $C{H_3}CHO$
C. $C{O_2}$
D. $HCOOH$
Answer
567.9k+ views
Hint: $HI{O_4}$ is known as periodic acid.It is the compound of iodine which has the highest oxides state of seven. It is an oxoacid of iodine. It can exist in two forms: orthoperiodic acid and met aperiodic.
Complete step by step solution
The periodic when reacts with an ester then hydrolysis of the ester group takes place which also takes place in saponification reaction. Soap is being prepared by this saponification process. In this saponification, ester is going to react with base results in the formation of soap along with alcohol.
In the above reaction, we have triglyceride that will react with sodium hydroxide (strong base), then glycerol is formed with soap. The name of the soap produced is sodium palmitate.
Now, periodic is a good oxidising agent.it is used to cleave the bond between vicinal diols. When glucose is treated with periodic acid, then there is a formation of formic acid along with formaldehyde. When fructose is treated with periodic acid then there will be a formation of formic acid along with formaldehyde and carbon dioxide. When a molecule contains a terminal hydroxyl group adjacent to another carbon connected to hydroxyl group, then there will be a formation of formaldehyde and an aldol is formed.
And in case of compounds having three consecutive hydroxyl groups then the terminal carbon is oxidised to carbon.
Hence, option (C) is correct.
Note:
The periodic acid helps in the structural analysis of sugars. Whenever there is a presence of vicinal diols then periodic acid is used for oxidation of the molecules. This led to the formation of different complex fragments. After the studying of fragments, we can comment upon the structure.
Complete step by step solution
The periodic when reacts with an ester then hydrolysis of the ester group takes place which also takes place in saponification reaction. Soap is being prepared by this saponification process. In this saponification, ester is going to react with base results in the formation of soap along with alcohol.
In the above reaction, we have triglyceride that will react with sodium hydroxide (strong base), then glycerol is formed with soap. The name of the soap produced is sodium palmitate.
Now, periodic is a good oxidising agent.it is used to cleave the bond between vicinal diols. When glucose is treated with periodic acid, then there is a formation of formic acid along with formaldehyde. When fructose is treated with periodic acid then there will be a formation of formic acid along with formaldehyde and carbon dioxide. When a molecule contains a terminal hydroxyl group adjacent to another carbon connected to hydroxyl group, then there will be a formation of formaldehyde and an aldol is formed.
And in case of compounds having three consecutive hydroxyl groups then the terminal carbon is oxidised to carbon.
Hence, option (C) is correct.
Note:
The periodic acid helps in the structural analysis of sugars. Whenever there is a presence of vicinal diols then periodic acid is used for oxidation of the molecules. This led to the formation of different complex fragments. After the studying of fragments, we can comment upon the structure.
Recently Updated Pages
Why are manures considered better than fertilizers class 11 biology CBSE

Find the coordinates of the midpoint of the line segment class 11 maths CBSE

Distinguish between static friction limiting friction class 11 physics CBSE

The Chairman of the constituent Assembly was A Jawaharlal class 11 social science CBSE

The first National Commission on Labour NCL submitted class 11 social science CBSE

Number of all subshell of n + l 7 is A 4 B 5 C 6 D class 11 chemistry CBSE

Trending doubts
Differentiate between an exothermic and an endothermic class 11 chemistry CBSE

10 examples of friction in our daily life

One Metric ton is equal to kg A 10000 B 1000 C 100 class 11 physics CBSE

Difference Between Prokaryotic Cells and Eukaryotic Cells

1 Quintal is equal to a 110 kg b 10 kg c 100kg d 1000 class 11 physics CBSE

State the laws of reflection of light

