
The pair(s) of reagents that yield paramagnetic species is/are :
a.) Na and excess of $N{H_3}$
b.) K and excess of ${O_2}$
c.) Cu and dilute $HN{O_3}$
d.) ${O_2}$ and 2 - ethylanthraquinone
Answer
565.2k+ views
Hint: The species in the options combine to give products. Most of these form the products that have unpaired electrons and are paramagnetic. The aromatic system gives hydrogen peroxide which is diamagnetic in nature. The metals given in above options produce species with unpaired electrons.
Complete step by step answer:
First, let us know about paramagnetic species. These are those species that have unpaired electrons. Now, let us see the options given-
The first option is Na and excess of $N{H_3}$. The Na ion in the liquid ammonia forms solvated electrons. These are unpaired. So, it is paramagnetic.
The second option is K and excess of ${O_2}$. This combination gives superoxide $K{O_2}$. This superoxide has $O_2^ - $ ion which has one unpaired electron. Thus, it is also paramagnetic.
The third option is Cu and dilute $HN{O_3}$. The Cu reacts with nitric acid ($HN{O_3}$) to form cupric nitrate. This cupric nitrate has Copper in +2 oxidation state with one unpaired electron along with NO. So, even these reagents are paramagnetic in nature. The reaction can be given as -
$3Cu + 8HN{O_3}(dil) \to 3Cu{(N{O_3})_2} + 4{H_2}O + 2NO$
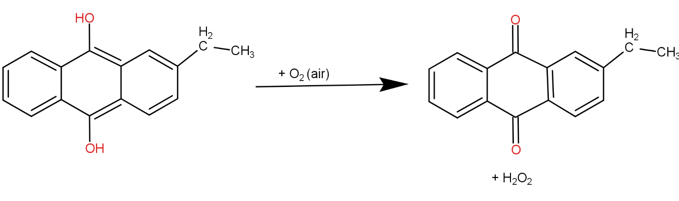
The fourth and the last option is ${O_2}$ and 2 - ethyl anthraquinone. This reaction can be written as-
The hydrogen peroxide produced here does not have any unpaired electron. So, it is diamagnetic.
So, the correct answer is “Option A, B and C”.
Note: It must be noted that due to presence of unpaired electrons, the magnetic moment value comes out to be non-zero. These species show colours due to the presence of unpaired electrons that can get excited.
The unpaired electrons in solvated Na and ammonia can also conduct electricity.
Complete step by step answer:
First, let us know about paramagnetic species. These are those species that have unpaired electrons. Now, let us see the options given-
The first option is Na and excess of $N{H_3}$. The Na ion in the liquid ammonia forms solvated electrons. These are unpaired. So, it is paramagnetic.
The second option is K and excess of ${O_2}$. This combination gives superoxide $K{O_2}$. This superoxide has $O_2^ - $ ion which has one unpaired electron. Thus, it is also paramagnetic.
The third option is Cu and dilute $HN{O_3}$. The Cu reacts with nitric acid ($HN{O_3}$) to form cupric nitrate. This cupric nitrate has Copper in +2 oxidation state with one unpaired electron along with NO. So, even these reagents are paramagnetic in nature. The reaction can be given as -
$3Cu + 8HN{O_3}(dil) \to 3Cu{(N{O_3})_2} + 4{H_2}O + 2NO$
The fourth and the last option is ${O_2}$ and 2 - ethyl anthraquinone. This reaction can be written as-
The hydrogen peroxide produced here does not have any unpaired electron. So, it is diamagnetic.
So, the correct answer is “Option A, B and C”.
Note: It must be noted that due to presence of unpaired electrons, the magnetic moment value comes out to be non-zero. These species show colours due to the presence of unpaired electrons that can get excited.
The unpaired electrons in solvated Na and ammonia can also conduct electricity.
Recently Updated Pages
Why are manures considered better than fertilizers class 11 biology CBSE

Find the coordinates of the midpoint of the line segment class 11 maths CBSE

Distinguish between static friction limiting friction class 11 physics CBSE

The Chairman of the constituent Assembly was A Jawaharlal class 11 social science CBSE

The first National Commission on Labour NCL submitted class 11 social science CBSE

Number of all subshell of n + l 7 is A 4 B 5 C 6 D class 11 chemistry CBSE

Trending doubts
What is meant by exothermic and endothermic reactions class 11 chemistry CBSE

1 Quintal is equal to a 110 kg b 10 kg c 100kg d 1000 class 11 physics CBSE

What is periodicity class 11 chemistry CBSE

What is a periderm How does periderm formation take class 11 biology CBSE

Mention the basic forces in nature class 11 physics CBSE

What are porins class 11 biology CBSE

