
The number of water molecules directly bonded to the metal centre in $CuS{{O}_{4}}.5{{H}_{2}}O$ is ………………..
Answer
570.3k+ views
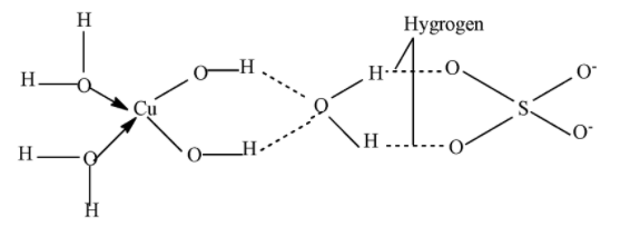
Hint: In $CuS{{O}_{4}}.5{{H}_{2}}O$ the metal centre is Cu (Copper). Here the metal ion is six coordinated. The coordination group surrounding the cupric ion is 4 molecules of water and two oxygen atoms of sulphate ions and the fifth water molecule is held between the water molecules attached with the cation and oxygen atoms that are attached with sulphate ions.
Complete answer:
Copper (II) sulphate which is also known as copper sulphate is the inorganic compounds having a chemical formula of $CuS{{O}_{4}}.{{({{H}_{2}}O)}_{x}}$ where the range of x can be 0 to 5 but the most common form is of pentahydrate having a chemical formula of $CuS{{O}_{4}}.5{{H}_{2}}O$.
Cupric sulphate is a salt which is formed when copper oxide is treated with sulfuric acid and forms a large bright blue crystal having five molecules of water in it. It dissolves in water exothermically and give the aqua complex of ${{[Cu{{({{H}_{2}}O)}_{6}}]}^{2+}}$ having octahedral molecular geometry.
In commercial copper sulphate the percentage of copper is 98% with very small amount of water but in its blue hydrous form $(CuS{{O}_{4}}.5{{H}_{2}}O)$ the percentage of copper is 25.47%, 38.47% of sulphate and the water by mass percentage is 36.06%.
In the question we have asked to calculate the water molecules that are directly bonded with $CuS{{O}_{4}}.5{{H}_{2}}O$. Here the metal ion is six coordinated. The coordination group surrounding the cupric ion is 4 molecules of water and two oxygen atoms of sulphate ions and the fifth water molecule is held between the water molecules attached with the cation and oxygen atoms that are attached with sulphate ions.
Fifth water molecules form hydrogen bonding and are not coordinated and are deeply embedded in the crystal. So only four water molecules form a coordinated bond and are directly attached with the metal centre and the fifth bond only form a hydrogen bond.
Hence the number of water molecules directly bonded with metal centre is 4
Note: The pentahydrate $CuS{{O}_{4}}.5{{H}_{2}}O$ is also known as blue vitriol. It is used for agriculture purposes like pesticides, feed additives, etc. and it is insoluble in alcohol. To produce the anhydrous salt the hydrate is heated to 150⁰ C. Sometimes it is also used as an electrolyte for electroplating baths and batteries and for medicinal purposes like fungicide, astringent, etc.
Complete answer:
Copper (II) sulphate which is also known as copper sulphate is the inorganic compounds having a chemical formula of $CuS{{O}_{4}}.{{({{H}_{2}}O)}_{x}}$ where the range of x can be 0 to 5 but the most common form is of pentahydrate having a chemical formula of $CuS{{O}_{4}}.5{{H}_{2}}O$.
Cupric sulphate is a salt which is formed when copper oxide is treated with sulfuric acid and forms a large bright blue crystal having five molecules of water in it. It dissolves in water exothermically and give the aqua complex of ${{[Cu{{({{H}_{2}}O)}_{6}}]}^{2+}}$ having octahedral molecular geometry.
In commercial copper sulphate the percentage of copper is 98% with very small amount of water but in its blue hydrous form $(CuS{{O}_{4}}.5{{H}_{2}}O)$ the percentage of copper is 25.47%, 38.47% of sulphate and the water by mass percentage is 36.06%.
In the question we have asked to calculate the water molecules that are directly bonded with $CuS{{O}_{4}}.5{{H}_{2}}O$. Here the metal ion is six coordinated. The coordination group surrounding the cupric ion is 4 molecules of water and two oxygen atoms of sulphate ions and the fifth water molecule is held between the water molecules attached with the cation and oxygen atoms that are attached with sulphate ions.
Fifth water molecules form hydrogen bonding and are not coordinated and are deeply embedded in the crystal. So only four water molecules form a coordinated bond and are directly attached with the metal centre and the fifth bond only form a hydrogen bond.
Hence the number of water molecules directly bonded with metal centre is 4
Note: The pentahydrate $CuS{{O}_{4}}.5{{H}_{2}}O$ is also known as blue vitriol. It is used for agriculture purposes like pesticides, feed additives, etc. and it is insoluble in alcohol. To produce the anhydrous salt the hydrate is heated to 150⁰ C. Sometimes it is also used as an electrolyte for electroplating baths and batteries and for medicinal purposes like fungicide, astringent, etc.
Recently Updated Pages
Why are manures considered better than fertilizers class 11 biology CBSE

Find the coordinates of the midpoint of the line segment class 11 maths CBSE

Distinguish between static friction limiting friction class 11 physics CBSE

The Chairman of the constituent Assembly was A Jawaharlal class 11 social science CBSE

The first National Commission on Labour NCL submitted class 11 social science CBSE

Number of all subshell of n + l 7 is A 4 B 5 C 6 D class 11 chemistry CBSE

Trending doubts
Differentiate between an exothermic and an endothermic class 11 chemistry CBSE

10 examples of friction in our daily life

One Metric ton is equal to kg A 10000 B 1000 C 100 class 11 physics CBSE

Difference Between Prokaryotic Cells and Eukaryotic Cells

1 Quintal is equal to a 110 kg b 10 kg c 100kg d 1000 class 11 physics CBSE

State the laws of reflection of light

