
The number of amino acids and peptide bonds in a linear tetrapeptides (made of different amino acids) are respectively:
A.4 and 4
B.5 and 5
C.5 and 4
D.4 and 3
Answer
574.2k+ views
Hint: Here tetra means four and peptide means a compound in which one or more amino acids are linked to each other by peptide linkage. Draw four amino acids of your choice and link them by simple removal of water.
Complete step by step answer:
Before going to the solution we need to understand all the terminology used in the given question.
Amino Acids- Amino acids are the building block of proteins. These are the organic molecules containing an amino group $ - N{H_2}$, a carboxylic acid group $ - COOH$ and an alkyl group. Every amino acid has the same basic structure and different alkyl group.
Peptide bonds- It is the bonding between the two amino acids where the carboxylic group of one amine reacts with the amino group of other amine. There is a formation of $ - CONH$ bond by simple removal of water. This bond is peptide bond or peptide linkage.
Linear tetrapeptides- Tetra means four i.e. four amines are linked together in a linear chain to form a peptide linkage.
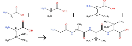
Let's take glycine ,alanine ,leucine and isoleucine
Here we can see that the carboxylic group of glycine gets attached to the ammonia group of alanine by removing water and then further alanine linked with leucine in the same manner and so on.
In the product we can clearly see that there are only 3 $ - CONH$ bonds.
Hence the correct option is D.
Note:
If there are $n$ number of amino acids, then there will be $n - 1$ number of peptide linkages. As for making a peptide bond, a minimum of two amino acids are required.
Complete step by step answer:
Before going to the solution we need to understand all the terminology used in the given question.
Amino Acids- Amino acids are the building block of proteins. These are the organic molecules containing an amino group $ - N{H_2}$, a carboxylic acid group $ - COOH$ and an alkyl group. Every amino acid has the same basic structure and different alkyl group.
Peptide bonds- It is the bonding between the two amino acids where the carboxylic group of one amine reacts with the amino group of other amine. There is a formation of $ - CONH$ bond by simple removal of water. This bond is peptide bond or peptide linkage.
Linear tetrapeptides- Tetra means four i.e. four amines are linked together in a linear chain to form a peptide linkage.
Let's take glycine ,alanine ,leucine and isoleucine
Here we can see that the carboxylic group of glycine gets attached to the ammonia group of alanine by removing water and then further alanine linked with leucine in the same manner and so on.
In the product we can clearly see that there are only 3 $ - CONH$ bonds.
Hence the correct option is D.
Note:
If there are $n$ number of amino acids, then there will be $n - 1$ number of peptide linkages. As for making a peptide bond, a minimum of two amino acids are required.
Recently Updated Pages
The number of solutions in x in 02pi for which sqrt class 12 maths CBSE

Write any two methods of preparation of phenol Give class 12 chemistry CBSE

Differentiate between action potential and resting class 12 biology CBSE

Two plane mirrors arranged at right angles to each class 12 physics CBSE

Which of the following molecules is are chiral A I class 12 chemistry CBSE

Name different types of neurons and give one function class 12 biology CBSE

Trending doubts
Which are the Top 10 Largest Countries of the World?

What are the major means of transport Explain each class 12 social science CBSE

Draw a labelled sketch of the human eye class 12 physics CBSE

Differentiate between insitu conservation and exsitu class 12 biology CBSE

The computer jargonwwww stands for Aworld wide web class 12 physics CBSE

State the principle of an ac generator and explain class 12 physics CBSE

