
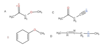
The molecule/molecules that has/have delocalised lone pair(s) of electron is/are:
A.A, B and C
B.A, C and D
C.A and B
D.Only B
Answer
564.3k+ views
Hint: They must be conjugation present for the lone pair to be delocalised. Only delocalised electrons show resonance. The double bond should be present adjacent to the lone pair bearing species.
Complete step by step solution:
Resonance is the displacement or shifting of a lone pair of electrons within the compound. One single resonating structure cannot explain all the properties of the compound so we make different structures by shifting the Pi electrons to define complete physical and chemical properties of the compound. The structures that are formed are known as resonating structure. Resonance helps in the stabilization of the compound. Resonance is a completely hypothetical concept and has no real significance.
There are various types of resonance:
Positive charge pi resonance:This happens when Pi bond is in conjugation with a positive charge and vacant orbital. The condition is that both of them must be present adjacent carbon.
Pi electron lone pair conjugation:Pi bonds in conjugation with lone pair and they are separated by just one sigma bond.
Pi bond free radical: When pi bond is in conjugation with free radical and they are separated by just one sigma bond.
Pi bond conjugation:When 2 Pi bonds are present on alternate positions to each other so that they can conjugate and show resonance.
Lone pair positive charge resonance: Lone pairs and positive charge are separated by just one sigma bond.
In the above molecules given the only molecule that show delocalisation is
As we can see that the double and lone pair is just separated by one sigma bond, hence resonance takes place.
Hence, the correct option is D.
Note:
Lone pairs are those species which do not involve resonance; they usually remain in hybrid orbitals. Delocalized lone pairs are those lone pairs which are in conjugation. They are present in unhybridized orbitals in order to show resonance.
Complete step by step solution:
Resonance is the displacement or shifting of a lone pair of electrons within the compound. One single resonating structure cannot explain all the properties of the compound so we make different structures by shifting the Pi electrons to define complete physical and chemical properties of the compound. The structures that are formed are known as resonating structure. Resonance helps in the stabilization of the compound. Resonance is a completely hypothetical concept and has no real significance.
There are various types of resonance:
Positive charge pi resonance:This happens when Pi bond is in conjugation with a positive charge and vacant orbital. The condition is that both of them must be present adjacent carbon.
Pi electron lone pair conjugation:Pi bonds in conjugation with lone pair and they are separated by just one sigma bond.
Pi bond free radical: When pi bond is in conjugation with free radical and they are separated by just one sigma bond.
Pi bond conjugation:When 2 Pi bonds are present on alternate positions to each other so that they can conjugate and show resonance.
Lone pair positive charge resonance: Lone pairs and positive charge are separated by just one sigma bond.
In the above molecules given the only molecule that show delocalisation is
As we can see that the double and lone pair is just separated by one sigma bond, hence resonance takes place.
Hence, the correct option is D.
Note:
Lone pairs are those species which do not involve resonance; they usually remain in hybrid orbitals. Delocalized lone pairs are those lone pairs which are in conjugation. They are present in unhybridized orbitals in order to show resonance.
Recently Updated Pages
The number of solutions in x in 02pi for which sqrt class 12 maths CBSE

Write any two methods of preparation of phenol Give class 12 chemistry CBSE

Differentiate between action potential and resting class 12 biology CBSE

Two plane mirrors arranged at right angles to each class 12 physics CBSE

Which of the following molecules is are chiral A I class 12 chemistry CBSE

Name different types of neurons and give one function class 12 biology CBSE

Trending doubts
An example of chemosynthetic bacteria is A E coli B class 11 biology CBSE

Name the metals and nonmetals in the first twenty class 11 chemistry CBSE

Which one of the following is not a method of soil class 11 biology CBSE

What is the nature of force between two parallel conductors class 11 physics CBSE

Whiptails disease in cauliflower is noted due to deficiency class 11 biology CBSE

How do I convert ms to kmh Give an example class 11 physics CBSE

