
The main constituent element of chlorophyll is
Answer
573.9k+ views
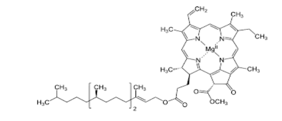
Hint: Chlorophyll is the green pigment present in the leaves which plays a very important role in the process of photosynthesis. Chlorophyll is of two types: chlorophyll a and b. Magnesium atoms surrounded by nitrogen. It contains the porphyrin ring attached to the phytol ring. Various modifications occur in their structure due to the presence of certain side groups.
Complete answer:
The process by which light energy is converted into chemical energy is known as photosynthesis. Chlorophyll is the most important class of pigments involved in the process of photosynthesis. It is present in all photosynthetic organisms including green plants, cyanobacteria and algae. It takes energy from light and this energy is used to convert carbon dioxide to carbohydrates.
Chlorophyll is the derivative of porphyrin with magnesium as the central atom. The general formula of chlorophyll is \[{C_{55}}{H_{72}}{O_6}{N_4}Mg\]. Chlorophyll was first identified by Joseph Bienaime Caventou and Pierre Joseph Pelletier in 1817. It is also called a metal complex dye. Photosystems embedded in the thylakoid membranes of chloroplasts contain chlorophyll. Reaction center of the chlorophyll absorbs light energy and transfers it to other parts of the photosystem. Electron flow produced at the reaction center is used to pump H+ ions across the thylakoid membrane.
Note: Chlorophyll a is present in green parts of the plants, and yellow green chlorophyll b acts as catalyst for photosynthesis. Lacustrine algae contains chlorophyll c while red algae contains chlorophyll d. chlorophyll are commercially produced which are dark green solutions in water, ethanol or oil. It can be also used for dyeing, bleaching oil, soaps, and also for colouring mineral oils.
Complete answer:
The process by which light energy is converted into chemical energy is known as photosynthesis. Chlorophyll is the most important class of pigments involved in the process of photosynthesis. It is present in all photosynthetic organisms including green plants, cyanobacteria and algae. It takes energy from light and this energy is used to convert carbon dioxide to carbohydrates.
Chlorophyll is the derivative of porphyrin with magnesium as the central atom. The general formula of chlorophyll is \[{C_{55}}{H_{72}}{O_6}{N_4}Mg\]. Chlorophyll was first identified by Joseph Bienaime Caventou and Pierre Joseph Pelletier in 1817. It is also called a metal complex dye. Photosystems embedded in the thylakoid membranes of chloroplasts contain chlorophyll. Reaction center of the chlorophyll absorbs light energy and transfers it to other parts of the photosystem. Electron flow produced at the reaction center is used to pump H+ ions across the thylakoid membrane.
Note: Chlorophyll a is present in green parts of the plants, and yellow green chlorophyll b acts as catalyst for photosynthesis. Lacustrine algae contains chlorophyll c while red algae contains chlorophyll d. chlorophyll are commercially produced which are dark green solutions in water, ethanol or oil. It can be also used for dyeing, bleaching oil, soaps, and also for colouring mineral oils.
Recently Updated Pages
The number of solutions in x in 02pi for which sqrt class 12 maths CBSE

Write any two methods of preparation of phenol Give class 12 chemistry CBSE

Differentiate between action potential and resting class 12 biology CBSE

Two plane mirrors arranged at right angles to each class 12 physics CBSE

Which of the following molecules is are chiral A I class 12 chemistry CBSE

Name different types of neurons and give one function class 12 biology CBSE

Trending doubts
Which are the Top 10 Largest Countries of the World?

What are the major means of transport Explain each class 12 social science CBSE

Draw a labelled sketch of the human eye class 12 physics CBSE

Differentiate between insitu conservation and exsitu class 12 biology CBSE

State the principle of an ac generator and explain class 12 physics CBSE

Differentiate between homogeneous and heterogeneous class 12 chemistry CBSE

