
The IUPAC name of \[HOC{{H}_{2}}-C{{H}_{2}}OH\]:
Answer
579.6k+ views
Hint: Draw the expanded structure of the given compound to understand the bonding of halogen to the carbon atom. Try recalling the IUPAC conventions followed while naming a compound. The numbering of carbon atoms starts from the carbon atom having a functional group.
Complete step-by-step answer:
We will draw the expanded structure of organic compounds.
In the above compound we identify two hydroxyl groups attached to adjacent carbon atoms. The main chain consists of 2 carbon atoms. So, the base name is ethane.
The two hydroxyl groups are considered main functional groups. This is because they are both part of the main carbon chain. So, the IUPAC name of the above organic compound is :
Ethan - 1,2-diol
The common name for the organic compound is ethylene glycol and is an important reagent in polymerisation reactions.
Additional information: The International Union of Pure and Applied Chemistry is an international federation of National Adhering Organizations that represents chemists in the individual countries. IUPAC is registered in Zürich; Switzerland and its administrative office is called IUPAC secretariat.
Note: In the above question it was easy to choose the longest carbon chain and the main functional group. However, when we have to choose between the main functional group and longest chain, we give priority to the functional group. The above explanation is shown below:
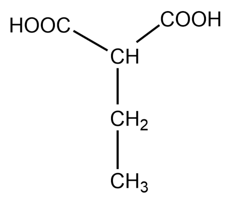
For the above organic compound, the IUPAC name is 2-ethylethan 1,3-dioic acid.
Complete step-by-step answer:
We will draw the expanded structure of organic compounds.
In the above compound we identify two hydroxyl groups attached to adjacent carbon atoms. The main chain consists of 2 carbon atoms. So, the base name is ethane.
The two hydroxyl groups are considered main functional groups. This is because they are both part of the main carbon chain. So, the IUPAC name of the above organic compound is :
Ethan - 1,2-diol
The common name for the organic compound is ethylene glycol and is an important reagent in polymerisation reactions.
Additional information: The International Union of Pure and Applied Chemistry is an international federation of National Adhering Organizations that represents chemists in the individual countries. IUPAC is registered in Zürich; Switzerland and its administrative office is called IUPAC secretariat.
Note: In the above question it was easy to choose the longest carbon chain and the main functional group. However, when we have to choose between the main functional group and longest chain, we give priority to the functional group. The above explanation is shown below:
For the above organic compound, the IUPAC name is 2-ethylethan 1,3-dioic acid.
Recently Updated Pages
Master Class 11 Business Studies: Engaging Questions & Answers for Success

Master Class 11 English: Engaging Questions & Answers for Success

Master Class 11 Computer Science: Engaging Questions & Answers for Success

Master Class 11 Social Science: Engaging Questions & Answers for Success

Master Class 11 Maths: Engaging Questions & Answers for Success

Master Class 11 Biology: Engaging Questions & Answers for Success

Trending doubts
An example of chemosynthetic bacteria is A E coli B class 11 biology CBSE

Name the metals and nonmetals in the first twenty class 11 chemistry CBSE

Which one of the following is not a method of soil class 11 biology CBSE

What is the nature of force between two parallel conductors class 11 physics CBSE

Whiptails disease in cauliflower is noted due to deficiency class 11 biology CBSE

How do I convert ms to kmh Give an example class 11 physics CBSE

