
The IUPAC name of $C{H_3} - C{H_2} - CH\left( {C{H_3}} \right) - C\left( {{C_4}{H_9}} \right)\left( {C{H_3}} \right) - C{H_3}$ is:
A. ${\rm{3,4,4 - trimethyloctane}}$
B. ${\rm{3,4,4 - trimethylheptane}}$
C. ${\rm{2 - ethyl - 3,3 - dimethylheptane}}$
D. ${\rm{2 - butyl - 2 - methyl - 3 - ethylbutane}}$
Answer
564.6k+ views
Hint: We can deduce the IUPAC name of an organic compound by using a given set of rules.
Complete step by step answer:
We can write the IUPAC name of the organic compounds belonging to alkane family, by following some given rules which are listed below:
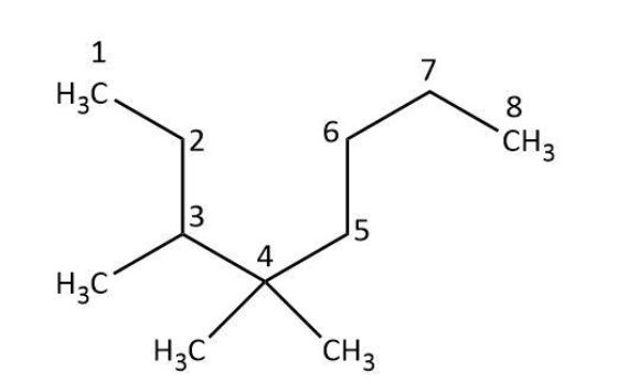
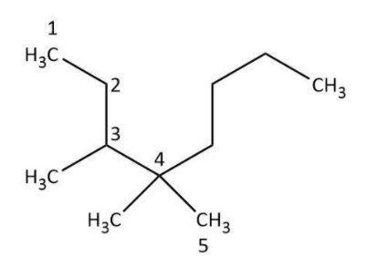
Firstly, we need to write down the structure of the compound by using the given formula. Here, we can see in the first glance that a five-carbon chain is present in which one \[C{H_3} - \]group is attached to the third carbon atom and one \[C{H_3} - \] group is attached to the fourth carbon atom. In addition to these, one \[{C_4}{H_9} - \] group is attached to the fourth carbon as well. We can draw the structure based on this information:
Next, we will identify the longest carbon chain. In the given compound the longest carbon chain has eight carbon atoms not five:
Now, we will identify the root names for the carbon chain and the substituents based on the number of carbon atoms. In \[C{H_3} - \] group, there is only one carbon atom. So, we can derive its name from meth- to be a methyl group. The longest carbon chain has eight carbons for which the root name is oct- and the derived name would be octane.
In the next step, we will assign the positions to the substituents based on the number of carbon atom to which they are attached. In the given compound, we can see that one methyl group is present at the third carbon and two methyl groups are attached to the fourth carbon on the basis of above numbering.
Finally, we can use the above collected information to write the IUPAC name of the compound to be ${\rm{3,4,4 - trimethyloctane}}$.
Thus, the correct option is A.
Note:
We have to be careful while numbering the branched chains as there are multiple possibilities.
Complete step by step answer:
We can write the IUPAC name of the organic compounds belonging to alkane family, by following some given rules which are listed below:
Firstly, we need to write down the structure of the compound by using the given formula. Here, we can see in the first glance that a five-carbon chain is present in which one \[C{H_3} - \]group is attached to the third carbon atom and one \[C{H_3} - \] group is attached to the fourth carbon atom. In addition to these, one \[{C_4}{H_9} - \] group is attached to the fourth carbon as well. We can draw the structure based on this information:
Next, we will identify the longest carbon chain. In the given compound the longest carbon chain has eight carbon atoms not five:
Now, we will identify the root names for the carbon chain and the substituents based on the number of carbon atoms. In \[C{H_3} - \] group, there is only one carbon atom. So, we can derive its name from meth- to be a methyl group. The longest carbon chain has eight carbons for which the root name is oct- and the derived name would be octane.
In the next step, we will assign the positions to the substituents based on the number of carbon atom to which they are attached. In the given compound, we can see that one methyl group is present at the third carbon and two methyl groups are attached to the fourth carbon on the basis of above numbering.
Finally, we can use the above collected information to write the IUPAC name of the compound to be ${\rm{3,4,4 - trimethyloctane}}$.
Thus, the correct option is A.
Note:
We have to be careful while numbering the branched chains as there are multiple possibilities.
Recently Updated Pages
Why are manures considered better than fertilizers class 11 biology CBSE

Find the coordinates of the midpoint of the line segment class 11 maths CBSE

Distinguish between static friction limiting friction class 11 physics CBSE

The Chairman of the constituent Assembly was A Jawaharlal class 11 social science CBSE

The first National Commission on Labour NCL submitted class 11 social science CBSE

Number of all subshell of n + l 7 is A 4 B 5 C 6 D class 11 chemistry CBSE

Trending doubts
What is meant by exothermic and endothermic reactions class 11 chemistry CBSE

10 examples of friction in our daily life

One Metric ton is equal to kg A 10000 B 1000 C 100 class 11 physics CBSE

1 Quintal is equal to a 110 kg b 10 kg c 100kg d 1000 class 11 physics CBSE

Difference Between Prokaryotic Cells and Eukaryotic Cells

What are Quantum numbers Explain the quantum number class 11 chemistry CBSE

