
The increasing order of the $p k_a $ of the following compound is
(A) $ \left( i \right) < \left( {iii} \right) < \left( {iv} \right) < \left( {ii} \right) $
(B) $ \left( {iii} \right) < \left( i \right) < \left( {iv} \right) < \left( {ii} \right) $
(C) $ \left( {ii} \right) < \left( {iv} \right) < \left( i \right) < \left( {iii} \right) $
(D) $ \left( {ii} \right) < \left( {iv} \right) < \left( {iii} \right) < \left( i \right) $
Answer
500.7k+ views
Hint: Acidic compounds are the chemical compounds which can easily lose $ {H^ + } $ ions.
The more electronegative groups present in the compound, more will be the acidic nature of the compound. The equilibrium constant $ k_a $ will be more for acidic compounds.
The $p k_a $ is opposite to the $ k_a $ value.
$ p k_a = - \log \left( { k_a } \right) $
$ k_a $ is equilibrium constant more for the acidic compounds and
$p k_a $ is the property that tells about the acidic nature.
Complete answer:
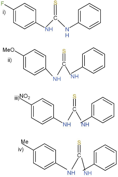
The given compound contains aromatic rings, sulphur atoms and two secondary amine groups, in addition to these each compound has different substitutions on one of the aromatic rings.
Aromatic compounds are the compounds that obeys the following conditions:
-The molecule must be cyclic,
-The molecule must be planar, all the carbon atoms must be $ s{p^2} $ hybridised.
-The molecule must obey Huckel’s rule i.e.., $ \left( {4n + 2} \right)\Pi $ electrons.
The value of n must be non-integer i.e.., it takes the value from 0,1,2,…
The compounds containing an electron-withdrawing group on the aromatic ring are more acidic.
Due to the presence of the electron withdrawing group, this electron withdrawing group attracts the benzene ring and makes the compound lose the proton easily.
As, the acid compound is the compound which can easily lose the protons.
Thus, stronger is the electron withdrawing group, more is the acidic nature.
More is the acidic nature, higher is the $ k_a $ value.
Higher is the $ k_a $ value, lower is the p $ k_a $ value, as $ k_a $ and p $ k_a $ are inversely proportional to each other.
Nitro group is the stronger electron withdrawing group than fluorine.
Methoxy group is electron-releasing group as oxygen contains lone pairs of electrons.
Thus, compound (iii) is more acidic due to the presence of nitro group, which leads to lower p $ k_a $ .
Compound (I) is also acidic but less than compound (iii) due to the presence of fluorine, which leads to the p $ k_a $ greater than compound (iii).
Compound (iV) is less acidic than compounds (I) and (iii) due to the absence of electron-withdrawing groups, it has an electron pushing group i.e.., methyl group, it has p $ k_a $ greater than compounds (I) and (iii).
Compound (ii) is less acidic due to the presence of electron releasing group i.e.., methoxy group, it leads to higher value of p $ k_a $ .
Thus, the increasing order of p $ k_a $ is $ \left( {iii} \right) < \left( i \right) < \left( {iv} \right) < \left( {ii} \right) $ .
Note:
The acidic strength must be known clearly. The electron releasing groups and electron-withdrawing groups should be identified. The $ k_a $ value must not be confused with p $ k_a $ value, these two are inversely proportional to each other.
The more electronegative groups present in the compound, more will be the acidic nature of the compound. The equilibrium constant $ k_a $ will be more for acidic compounds.
The $p k_a $ is opposite to the $ k_a $ value.
$ p k_a = - \log \left( { k_a } \right) $
$ k_a $ is equilibrium constant more for the acidic compounds and
$p k_a $ is the property that tells about the acidic nature.
Complete answer:
The given compound contains aromatic rings, sulphur atoms and two secondary amine groups, in addition to these each compound has different substitutions on one of the aromatic rings.
Aromatic compounds are the compounds that obeys the following conditions:
-The molecule must be cyclic,
-The molecule must be planar, all the carbon atoms must be $ s{p^2} $ hybridised.
-The molecule must obey Huckel’s rule i.e.., $ \left( {4n + 2} \right)\Pi $ electrons.
The value of n must be non-integer i.e.., it takes the value from 0,1,2,…
The compounds containing an electron-withdrawing group on the aromatic ring are more acidic.
Due to the presence of the electron withdrawing group, this electron withdrawing group attracts the benzene ring and makes the compound lose the proton easily.
As, the acid compound is the compound which can easily lose the protons.
Thus, stronger is the electron withdrawing group, more is the acidic nature.
More is the acidic nature, higher is the $ k_a $ value.
Higher is the $ k_a $ value, lower is the p $ k_a $ value, as $ k_a $ and p $ k_a $ are inversely proportional to each other.
Nitro group is the stronger electron withdrawing group than fluorine.
Methoxy group is electron-releasing group as oxygen contains lone pairs of electrons.
Thus, compound (iii) is more acidic due to the presence of nitro group, which leads to lower p $ k_a $ .
Compound (I) is also acidic but less than compound (iii) due to the presence of fluorine, which leads to the p $ k_a $ greater than compound (iii).
Compound (iV) is less acidic than compounds (I) and (iii) due to the absence of electron-withdrawing groups, it has an electron pushing group i.e.., methyl group, it has p $ k_a $ greater than compounds (I) and (iii).
Compound (ii) is less acidic due to the presence of electron releasing group i.e.., methoxy group, it leads to higher value of p $ k_a $ .
Thus, the increasing order of p $ k_a $ is $ \left( {iii} \right) < \left( i \right) < \left( {iv} \right) < \left( {ii} \right) $ .
Note:
The acidic strength must be known clearly. The electron releasing groups and electron-withdrawing groups should be identified. The $ k_a $ value must not be confused with p $ k_a $ value, these two are inversely proportional to each other.
Recently Updated Pages
Which cell organelles are present in white blood C class 11 biology CBSE

What is the molecular geometry of BrF4 A square planar class 11 chemistry CBSE

How can you explain that CCl4 has no dipole moment class 11 chemistry CBSE

Which will undergo SN2 reaction fastest among the following class 11 chemistry CBSE

The values of mass m for which the 100 kg block does class 11 physics CBSE

Why are voluntary muscles called striated muscles class 11 biology CBSE

Trending doubts
One Metric ton is equal to kg A 10000 B 1000 C 100 class 11 physics CBSE

Discuss the various forms of bacteria class 11 biology CBSE

Explain zero factorial class 11 maths CBSE

State the laws of reflection of light

Difference Between Prokaryotic Cells and Eukaryotic Cells

Show that total energy of a freely falling body remains class 11 physics CBSE

