
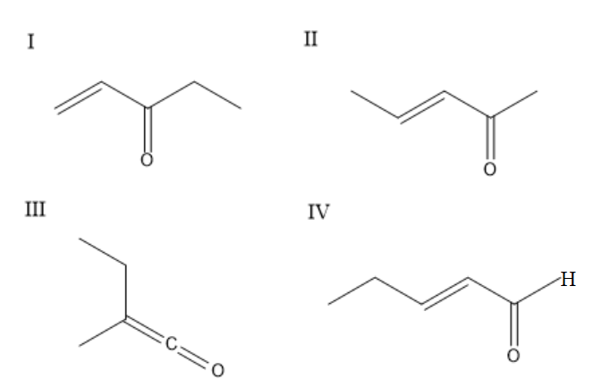
The enone $ {\text{(X = }}{{\text{C}}_{\text{5}}}{{\text{H}}_{\text{8}}}{\text{O)}} $ which shows geometrical isomerism are:
(A) $ \;{{I\;and IV}} $
(B) $ {{II\;and IV}} $
(C) $ {{III\;and IV}} $
(D) $ {{II only}} $
Answer
504.3k+ views
Hint: The chemical species which have the same type and same quantity of atoms as another species but a different geometric structure are called geometric isomers. These atoms or the groups exhibit different spatial arrangements on both sides of chemical bond or ring structure. The most common type of geometric isomers arise from a ring structure or from a double bond. These types of isomers are called cis and trans isomers.
Complete answer:
To identify the geometrical isomers, check whether there are two different groups on the left-hand side of the bond and two different groups on the right-hand side of the bond. Consider the first compound, it will not show geometrical isomerism because the carbon-carbon double bond is at the end and it will have similar groups on one side. The second compound exhibits geometrical isomerism and can exist in cis and trans forms. The third compound will not exhibit geometrical isomerism because carbon is attached to only one group on one side. The fourth group exhibits geometrical isomerism and exists in cis and trans forms. The second compound and fourth compound show geometric isomerism.
Therefore, option B is the correct answer.
Note:
Geometrical isomerism arises because of the restricted rotation around the carbon-carbon double bond. Because of this hindered rotation around the carbon-carbon double bond, the relative positions of groups or atoms that are attached to the carbon-carbon double bond are fixed. An enone consists of an alkene which is conjugated to a ketone.
Complete answer:
To identify the geometrical isomers, check whether there are two different groups on the left-hand side of the bond and two different groups on the right-hand side of the bond. Consider the first compound, it will not show geometrical isomerism because the carbon-carbon double bond is at the end and it will have similar groups on one side. The second compound exhibits geometrical isomerism and can exist in cis and trans forms. The third compound will not exhibit geometrical isomerism because carbon is attached to only one group on one side. The fourth group exhibits geometrical isomerism and exists in cis and trans forms. The second compound and fourth compound show geometric isomerism.
Therefore, option B is the correct answer.
Note:
Geometrical isomerism arises because of the restricted rotation around the carbon-carbon double bond. Because of this hindered rotation around the carbon-carbon double bond, the relative positions of groups or atoms that are attached to the carbon-carbon double bond are fixed. An enone consists of an alkene which is conjugated to a ketone.
Recently Updated Pages
Why are manures considered better than fertilizers class 11 biology CBSE

Find the coordinates of the midpoint of the line segment class 11 maths CBSE

Distinguish between static friction limiting friction class 11 physics CBSE

The Chairman of the constituent Assembly was A Jawaharlal class 11 social science CBSE

The first National Commission on Labour NCL submitted class 11 social science CBSE

Number of all subshell of n + l 7 is A 4 B 5 C 6 D class 11 chemistry CBSE

Trending doubts
1 Quintal is equal to a 110 kg b 10 kg c 100kg d 1000 class 11 physics CBSE

What is Environment class 11 chemistry CBSE

Bond order ofO2 O2+ O2 and O22 is in order A O2 langle class 11 chemistry CBSE

How many squares are there in a chess board A 1296 class 11 maths CBSE

Distinguish between verbal and nonverbal communica class 11 english CBSE

The equivalent weight of Mohrs salt FeSO4 NH42SO4 6H2O class 11 chemistry CBSE

