
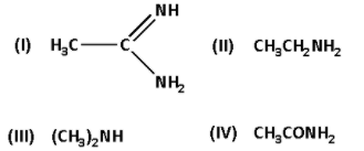
The correct basicity order of the following compound is:
A) I > III > II > IV
B) III > I > II > IV
C) II > I > III > IV
D) I > II > III > IV
Answer
555.3k+ views
Hint:More the number of the lone pair of electrons are available higher is the basicity. The basicity is directly proportional to the number of electron donating groups and is inversely proportional to the number of electron withdrawing groups.
Complete step-by-step answer:
In compound (I), there is a lone pair of electron on both the groups ${\text{N}}{{\text{H}}_{\text{2}}}$ and ${\text{NH}}$. The lone pair of electrons on ${\text{N}}{{\text{H}}_{\text{2}}}$ group is in conjugation and is not available. But the lone pair of electrons on ${\text{NH}}$ group is not in conjugation and is available. Also, the two carbon atoms are electron donating. Thus, there are two electron donating groups.
Thus, in compound (I), there is one lone pair available, two electron donating groups and also conjugation is available.
In compound (II), there is a lone pair on the ${\text{N}}{{\text{H}}_{\text{2}}}$ group. The lone pair of electrons on ${\text{N}}{{\text{H}}_{\text{2}}}$ group is not in conjugation and is available. Also, the two carbon atoms are electron donating. Thus, there are two electron donating groups from one side of the functional group.
Thus, in compound (II), there is one lone pair available, two electron donating groups from one side of the functional group but there is no conjugation.Thus, compound (I) is more basic than compound (II).
In compound (III), there is a lone pair on the ${\text{NH}}$ group. The lone pair of electrons on the ${\text{NH}}$ group is not in conjugation and is available. Also, the two carbon atoms are electron donating. Thus, there are two electron donating groups from both sides of the functional group.
Thus, in compound (III), there is one lone pair available, two electron donating groups from both sides of the functional group.
Thus, compound (III) is more basic than compound (II).
In compound (IV), there is a lone pair of electrons on the ${\text{N}}{{\text{H}}_{\text{2}}}$ group. The lone pair of electrons on ${\text{N}}{{\text{H}}_{\text{2}}}$ group is in conjugation and is not available. The group $\left( {{\text{C}} = {\text{O}}} \right)$ is an electron withdrawing group.
Thus, in compound (IV), there is no lone pair available and also, there is an electron withdrawing group which decreases the basicity.
Thus, compound (IV) is least basic. Thus, the correct basicity order is as follows:
I > III > II > IV
Thus, the correct answer is (A) I > III > II > IV.
Note: We should remember that
i) As the number of the electron donating groups increases the basicity of the compound increases.
ii) As the number of electron withdrawing groups increases the basicity of the compound decreases.
Complete step-by-step answer:
In compound (I), there is a lone pair of electron on both the groups ${\text{N}}{{\text{H}}_{\text{2}}}$ and ${\text{NH}}$. The lone pair of electrons on ${\text{N}}{{\text{H}}_{\text{2}}}$ group is in conjugation and is not available. But the lone pair of electrons on ${\text{NH}}$ group is not in conjugation and is available. Also, the two carbon atoms are electron donating. Thus, there are two electron donating groups.
Thus, in compound (I), there is one lone pair available, two electron donating groups and also conjugation is available.
In compound (II), there is a lone pair on the ${\text{N}}{{\text{H}}_{\text{2}}}$ group. The lone pair of electrons on ${\text{N}}{{\text{H}}_{\text{2}}}$ group is not in conjugation and is available. Also, the two carbon atoms are electron donating. Thus, there are two electron donating groups from one side of the functional group.
Thus, in compound (II), there is one lone pair available, two electron donating groups from one side of the functional group but there is no conjugation.Thus, compound (I) is more basic than compound (II).
In compound (III), there is a lone pair on the ${\text{NH}}$ group. The lone pair of electrons on the ${\text{NH}}$ group is not in conjugation and is available. Also, the two carbon atoms are electron donating. Thus, there are two electron donating groups from both sides of the functional group.
Thus, in compound (III), there is one lone pair available, two electron donating groups from both sides of the functional group.
Thus, compound (III) is more basic than compound (II).
In compound (IV), there is a lone pair of electrons on the ${\text{N}}{{\text{H}}_{\text{2}}}$ group. The lone pair of electrons on ${\text{N}}{{\text{H}}_{\text{2}}}$ group is in conjugation and is not available. The group $\left( {{\text{C}} = {\text{O}}} \right)$ is an electron withdrawing group.
Thus, in compound (IV), there is no lone pair available and also, there is an electron withdrawing group which decreases the basicity.
Thus, compound (IV) is least basic. Thus, the correct basicity order is as follows:
I > III > II > IV
Thus, the correct answer is (A) I > III > II > IV.
Note: We should remember that
i) As the number of the electron donating groups increases the basicity of the compound increases.
ii) As the number of electron withdrawing groups increases the basicity of the compound decreases.
Recently Updated Pages
Why are manures considered better than fertilizers class 11 biology CBSE

Find the coordinates of the midpoint of the line segment class 11 maths CBSE

Distinguish between static friction limiting friction class 11 physics CBSE

The Chairman of the constituent Assembly was A Jawaharlal class 11 social science CBSE

The first National Commission on Labour NCL submitted class 11 social science CBSE

Number of all subshell of n + l 7 is A 4 B 5 C 6 D class 11 chemistry CBSE

Trending doubts
Differentiate between an exothermic and an endothermic class 11 chemistry CBSE

10 examples of friction in our daily life

One Metric ton is equal to kg A 10000 B 1000 C 100 class 11 physics CBSE

Difference Between Prokaryotic Cells and Eukaryotic Cells

1 Quintal is equal to a 110 kg b 10 kg c 100kg d 1000 class 11 physics CBSE

State the laws of reflection of light

