
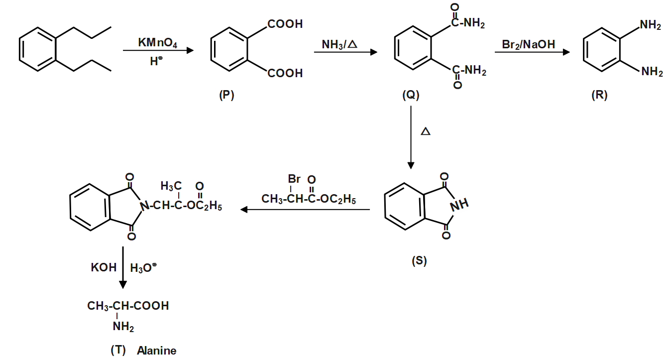
The compound T is:
(A) Glycine.
(B) Alanine.
(C) Valine.
(D) Serine.
Answer
528.6k+ views
Hint: The resonance structures of Alanine are drawn by first displacing the lone pair of electrons on the nitrogen to the bond between $ C $ and $ N. $ This results in formation of a double bond between $ C $ and $ N $ with $ N $ getting a positive charge due to the donation of electrons.
Complete answer:
Alanine has the chemical formula $ C{{H}_{3}}-CH(N{{H}_{2}})-COOH $. It is an organic compound that consists of a phenyl group attached to an amine group. Alanine is considered to be the simplest aromatic amine. Alanine has the odour of a rotten.
The chemical reaction is given by;
The valency of $ C $ is $ 4. $ This means that $ C $ can form $ 4 $ bonds. As $ C-1 $ already had $ 4 $ bonds, the electrons on $ C=C $ pi bond move to the adjacent $ C-2 $ atom and the $ C-2 $ atom gets a negative charge. This is how the second structure is formed.
Similarly, the negative on the $ C-2 $ atom will displace to the adjacent bond. The pi electrons on the adjacent bond then move to the $ C-4 $ atom and it gets a negative charge. This is how the third structure is formed.
Next, the negative on the $ C-4 $ atom will displace to the adjacent bond. The pi electrons on the adjacent bond then move to the $ C-6 $ atom and it gets a negative charge. This is how the T structure is formed.
Therefore, Correct answer is option B i.e., Alanine.
Note:
Alanine has a wide range of uses.
-It is used in rubber accelerators and antioxidants.
-Alanine is also an ingredient in dyes.
-It is used in pharmaceuticals and petroleum refining
Complete answer:
Alanine has the chemical formula $ C{{H}_{3}}-CH(N{{H}_{2}})-COOH $. It is an organic compound that consists of a phenyl group attached to an amine group. Alanine is considered to be the simplest aromatic amine. Alanine has the odour of a rotten.
The chemical reaction is given by;
The valency of $ C $ is $ 4. $ This means that $ C $ can form $ 4 $ bonds. As $ C-1 $ already had $ 4 $ bonds, the electrons on $ C=C $ pi bond move to the adjacent $ C-2 $ atom and the $ C-2 $ atom gets a negative charge. This is how the second structure is formed.
Similarly, the negative on the $ C-2 $ atom will displace to the adjacent bond. The pi electrons on the adjacent bond then move to the $ C-4 $ atom and it gets a negative charge. This is how the third structure is formed.
Next, the negative on the $ C-4 $ atom will displace to the adjacent bond. The pi electrons on the adjacent bond then move to the $ C-6 $ atom and it gets a negative charge. This is how the T structure is formed.
Therefore, Correct answer is option B i.e., Alanine.
Note:
Alanine has a wide range of uses.
-It is used in rubber accelerators and antioxidants.
-Alanine is also an ingredient in dyes.
-It is used in pharmaceuticals and petroleum refining
Recently Updated Pages
The number of solutions in x in 02pi for which sqrt class 12 maths CBSE

Write any two methods of preparation of phenol Give class 12 chemistry CBSE

Differentiate between action potential and resting class 12 biology CBSE

Two plane mirrors arranged at right angles to each class 12 physics CBSE

Which of the following molecules is are chiral A I class 12 chemistry CBSE

Name different types of neurons and give one function class 12 biology CBSE

Trending doubts
Which are the Top 10 Largest Countries of the World?

What are the major means of transport Explain each class 12 social science CBSE

Draw a labelled sketch of the human eye class 12 physics CBSE

Differentiate between insitu conservation and exsitu class 12 biology CBSE

The computer jargonwwww stands for Aworld wide web class 12 physics CBSE

State the principle of an ac generator and explain class 12 physics CBSE

