
The compound formed on heating chlorobenzene with chloral in the presence of concentrated sulphuric acid is:
(A) Freon
(B) DDT
(C) Gammaxene
(D) Hexachloroethane
Answer
501.6k+ views
Hint :To answer this question, the understanding of haloalkanes and haloarenes is required. Haloalkanes and haloarenes are the hydrocarbons in which one or more hydrogen atoms have been replaced with halogen atoms. The primary difference between haloalkanes and haloarenes is that haloalkanes are derived from open-chain hydrocarbons (alkanes) whereas haloarenes are derived from aromatic hydrocarbons.
Complete Step By Step Answer:
Option (a)
Freon is prepared by the action of antimony fluoride on carbon tetrachloride in presence of antimony pentafluoride as a catalyst.
$ 3CC{l_4} + 2Sb{F_3}\xrightarrow{{SbC{l_5}}}2SbC{l_3} + 3CC{l_2}{F_2} $
Therefore, option (a) is incorrect.
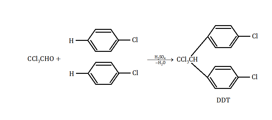
Option(b)
DDT is prepared by heating chlorobenzene with chlorine in the presence of concentrated sulphuric acid.
herefore, option (b) is correct.
Option (c)
Gammaxene or benzene hexachloride (BHC) is also popularly known as Lindane. It is prepared by light induced chlorination of benzene in the presence of UV light and heat. Here, benzene undergoes an additional reaction with a chlorine molecule to give gammaxene.
Therefore, option (c) is incorrect.
Option (d)
Hexachloroethane is produced commercially by the chlorination of tetrachloroethylene at $ 100^\circ C $ to $ 140^\circ C $ with the presence of ferric chloride.
$ {C_2}C{l_4} + C{l_2}\xrightarrow[{100^\circ C - 140^\circ C}]{{FeC{l_3}}}{C_2}C{l_6} $
Therefore, option (d) is incorrect.
Note :
Freon is commonly used as a refrigerant in refrigerators and air conditioners. It is also used in aerosol spray propellants such as body sprays, hair sprays, etc. However, it damages the ozone layer. DDT was initially used with great effect to combat malaria, typhus, and the other insect-borne human diseases among both military and civilian populations. However, DDT is quite harmful to various animals and humans. DDT is known to be very persistent in the environment. It accumulates in fatty tissues, and can travel long distances in the upper atmosphere. Gammaxene or lindane is used both as an agricultural insecticide and as a pharmaceutical treatment for lice and scabies. Hexachloroethane is used by the military for smoke-producing devices, in metal and alloy production, and as an ingredient in insecticides.
Complete Step By Step Answer:
Option (a)
Freon is prepared by the action of antimony fluoride on carbon tetrachloride in presence of antimony pentafluoride as a catalyst.
$ 3CC{l_4} + 2Sb{F_3}\xrightarrow{{SbC{l_5}}}2SbC{l_3} + 3CC{l_2}{F_2} $
Therefore, option (a) is incorrect.
Option(b)
DDT is prepared by heating chlorobenzene with chlorine in the presence of concentrated sulphuric acid.
herefore, option (b) is correct.
Option (c)
Gammaxene or benzene hexachloride (BHC) is also popularly known as Lindane. It is prepared by light induced chlorination of benzene in the presence of UV light and heat. Here, benzene undergoes an additional reaction with a chlorine molecule to give gammaxene.
Therefore, option (c) is incorrect.
Option (d)
Hexachloroethane is produced commercially by the chlorination of tetrachloroethylene at $ 100^\circ C $ to $ 140^\circ C $ with the presence of ferric chloride.
$ {C_2}C{l_4} + C{l_2}\xrightarrow[{100^\circ C - 140^\circ C}]{{FeC{l_3}}}{C_2}C{l_6} $
Therefore, option (d) is incorrect.
Note :
Freon is commonly used as a refrigerant in refrigerators and air conditioners. It is also used in aerosol spray propellants such as body sprays, hair sprays, etc. However, it damages the ozone layer. DDT was initially used with great effect to combat malaria, typhus, and the other insect-borne human diseases among both military and civilian populations. However, DDT is quite harmful to various animals and humans. DDT is known to be very persistent in the environment. It accumulates in fatty tissues, and can travel long distances in the upper atmosphere. Gammaxene or lindane is used both as an agricultural insecticide and as a pharmaceutical treatment for lice and scabies. Hexachloroethane is used by the military for smoke-producing devices, in metal and alloy production, and as an ingredient in insecticides.
Recently Updated Pages
Why are manures considered better than fertilizers class 11 biology CBSE

Find the coordinates of the midpoint of the line segment class 11 maths CBSE

Distinguish between static friction limiting friction class 11 physics CBSE

The Chairman of the constituent Assembly was A Jawaharlal class 11 social science CBSE

The first National Commission on Labour NCL submitted class 11 social science CBSE

Number of all subshell of n + l 7 is A 4 B 5 C 6 D class 11 chemistry CBSE

Trending doubts
Differentiate between an exothermic and an endothermic class 11 chemistry CBSE

10 examples of friction in our daily life

One Metric ton is equal to kg A 10000 B 1000 C 100 class 11 physics CBSE

Difference Between Prokaryotic Cells and Eukaryotic Cells

1 Quintal is equal to a 110 kg b 10 kg c 100kg d 1000 class 11 physics CBSE

State the laws of reflection of light

