
The best method to separate the mixture of ortho and para-nitrophenol (1:1) is
A.Vaporization
B.colour spectrum
C.distillation
D.crystallization
Answer
576.3k+ views
Hint: Draw the structures of ortho and para- nitrophenol. Determine the type of intermolecular forces present in both the compounds. Based on the intermolecular forces and boiling point determine the method of separation of a mixture of ortho and para-nitrophenol (1:1).
Step by step answer: The structure of ortho-nitrophenol is as follows:
Ortho-nitrophenol
The structure of para-nitrophenol is as follows:
Para-nitrophenol
Determine the type of intermolecular forces present in ortho and para- nitrophenol.
In the case of ortho-nitrophenol since hydroxyl and nitro groups are adjacent to each other so it shows intramolecular hydrogen bonding.
Intramolecular hydrogen bonding
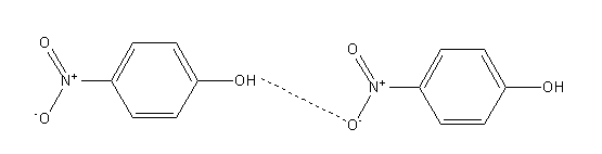
In the case of para-nitrophenol since hydroxyl and nitro groups are opposite to each other so it shows intermolecular hydrogen bonding.
Intermolecular hydrogen bonding
As intermolecular hydrogen bonding is stronger than the intramolecular hydrogen bonding so para-nitrophenol has a higher boiling point than the ortho-nitrophenol. The distillation method is used to separate the mixture of liquid having a considerable difference in boiling point. In the distillation method liquid having a lower boiling point converted into vapor first and separated from the mixture of liquid. In this case, since ortho-nitrophenol has a lower boiling point than para-nitrophenol so from the mixture ortho-nitrophenol will boil at a lower temperature and be separated first from the mixture.
Thus, the correct option is (C) distillation.
Note: There are various methods of separation depending on the type of mixture. To separate the liquid-liquid mixture having different boiling points the method used is distillation. The boiling point of a liquid depends on the type of intermolecular forces. The stronger the intermolecular forces are, the greater is the boiling point.
Step by step answer: The structure of ortho-nitrophenol is as follows:
Ortho-nitrophenol
The structure of para-nitrophenol is as follows:
Para-nitrophenol
Determine the type of intermolecular forces present in ortho and para- nitrophenol.
In the case of ortho-nitrophenol since hydroxyl and nitro groups are adjacent to each other so it shows intramolecular hydrogen bonding.
Intramolecular hydrogen bonding
In the case of para-nitrophenol since hydroxyl and nitro groups are opposite to each other so it shows intermolecular hydrogen bonding.
Intermolecular hydrogen bonding
As intermolecular hydrogen bonding is stronger than the intramolecular hydrogen bonding so para-nitrophenol has a higher boiling point than the ortho-nitrophenol. The distillation method is used to separate the mixture of liquid having a considerable difference in boiling point. In the distillation method liquid having a lower boiling point converted into vapor first and separated from the mixture of liquid. In this case, since ortho-nitrophenol has a lower boiling point than para-nitrophenol so from the mixture ortho-nitrophenol will boil at a lower temperature and be separated first from the mixture.
Thus, the correct option is (C) distillation.
Note: There are various methods of separation depending on the type of mixture. To separate the liquid-liquid mixture having different boiling points the method used is distillation. The boiling point of a liquid depends on the type of intermolecular forces. The stronger the intermolecular forces are, the greater is the boiling point.
Recently Updated Pages
Which cell organelles are present in white blood C class 11 biology CBSE

What is the molecular geometry of BrF4 A square planar class 11 chemistry CBSE

How can you explain that CCl4 has no dipole moment class 11 chemistry CBSE

Which will undergo SN2 reaction fastest among the following class 11 chemistry CBSE

The values of mass m for which the 100 kg block does class 11 physics CBSE

Why are voluntary muscles called striated muscles class 11 biology CBSE

Trending doubts
Which are the Top 10 Largest Countries of the World?

What are the major means of transport Explain each class 12 social science CBSE

Draw a labelled sketch of the human eye class 12 physics CBSE

Draw the diagram showing the germination of pollen class 12 biology CBSE

Differentiate between insitu conservation and exsitu class 12 biology CBSE

The computer jargonwwww stands for Aworld wide web class 12 physics CBSE

