
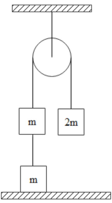
The Atwood machine in the figure has a third mass attached to it by a limp string. After being released, the 2m mass falls a distance x before the limp string becomes taut. Thereafter both the mass on the left rise at the same speed. What is the final speed? Assume that the pulley is ideal.
Answer
565.5k+ views
Hint: We will be using the impulse equation and the force equation for the pulley to get the final speed. The ideal pulley concept is used. A free body diagram can be drawn to understand how the force equation can be formed. Newton’s law has been used to calculate the force exerted by the mass.
Formula used: Force \[F=ma\]
Impulse \[\Delta p=F\Delta t\]
Complete step-by-step solution:
Let us first consider the system when the string is limp. If we consider a to be the acceleration of the masses before the string becomes taut then we can write the following expression for the motion of the system.
$\begin{align}
&2mg - mg = \left( {2m + m} \right)a \\
&\Rightarrow mg = 3ma \\
& \Rightarrow a = \dfrac{g}{3} \\
\end{align} $
This is the value of the acceleration of masses m and 2m before the string becomes taut. Now let us use the following equation of motion to find out the velocity, which is given as
${v^2} - {u^2} = 2aS$
The initial velocity of these masses is zero; $u = 0$. Therefore, we can write that
$\begin{gathered}
{v^2} = \dfrac{2}{3}gx \\
v = \sqrt {\dfrac{{2gx}}{3}} \\
\end{gathered} $
Here x is the distance to which the mass 2m will fall before the string tightens up.
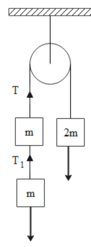
Now let the tension ${T_1}$ due to the second mass m is acting on the system when the string becomes taut. When this tension develops, it acts as an impulse for some time dt. We are given that all the masses move with uniform velocity after the string becomes taut, so let this velocity be c.
Now, we can write the following expression using the impulse-momentum theorem where the impulse J acting on the system is equal to the change in momentum of the system.
$J = Fdt = \Delta mv$
Writing this expression for all the masses we get
For the second mass m on the bottom, ${T_1}dt = mc$ …(i)
Here ${T_1}$ is the tensional force acting on this mass.
For the mass m above it, $\left( {T - {T_1}} \right)dt = mc - mv{\text{ }}...{\text{(ii)}}$
Here $T - {T_1}$ is the tensional force acting on two masses.
And similarly, for the mass 2m, $ - Tdt = 2mc - 2mv{\text{ }}...{\text{(iii)}}$
Adding these three equations we get
$\begin{gathered}
0 = 4mc - 3mv \\
\Rightarrow c = \dfrac{3}{4}v \\
\end{gathered} $
Inserting the value of v obtained earlier, we get
$c = \dfrac{3}{4}\sqrt {\dfrac{{2gx}}{3}} = \sqrt {\dfrac{{9 \times 2gx}}{{16 \times 3}}} = \sqrt {\dfrac{{3gx}}{8}} $
This is the final speed of the masses and the required answer.
Note: Impulse acting on a system can be defined as the sudden change in force occurring in a very short interval of time. In the given system, the impulse occurs due to the tension developed in the pulley when the lower string becomes taut.
Formula used: Force \[F=ma\]
Impulse \[\Delta p=F\Delta t\]
Complete step-by-step solution:
Let us first consider the system when the string is limp. If we consider a to be the acceleration of the masses before the string becomes taut then we can write the following expression for the motion of the system.
$\begin{align}
&2mg - mg = \left( {2m + m} \right)a \\
&\Rightarrow mg = 3ma \\
& \Rightarrow a = \dfrac{g}{3} \\
\end{align} $
This is the value of the acceleration of masses m and 2m before the string becomes taut. Now let us use the following equation of motion to find out the velocity, which is given as
${v^2} - {u^2} = 2aS$
The initial velocity of these masses is zero; $u = 0$. Therefore, we can write that
$\begin{gathered}
{v^2} = \dfrac{2}{3}gx \\
v = \sqrt {\dfrac{{2gx}}{3}} \\
\end{gathered} $
Here x is the distance to which the mass 2m will fall before the string tightens up.
Now let the tension ${T_1}$ due to the second mass m is acting on the system when the string becomes taut. When this tension develops, it acts as an impulse for some time dt. We are given that all the masses move with uniform velocity after the string becomes taut, so let this velocity be c.
Now, we can write the following expression using the impulse-momentum theorem where the impulse J acting on the system is equal to the change in momentum of the system.
$J = Fdt = \Delta mv$
Writing this expression for all the masses we get
For the second mass m on the bottom, ${T_1}dt = mc$ …(i)
Here ${T_1}$ is the tensional force acting on this mass.
For the mass m above it, $\left( {T - {T_1}} \right)dt = mc - mv{\text{ }}...{\text{(ii)}}$
Here $T - {T_1}$ is the tensional force acting on two masses.
And similarly, for the mass 2m, $ - Tdt = 2mc - 2mv{\text{ }}...{\text{(iii)}}$
Adding these three equations we get
$\begin{gathered}
0 = 4mc - 3mv \\
\Rightarrow c = \dfrac{3}{4}v \\
\end{gathered} $
Inserting the value of v obtained earlier, we get
$c = \dfrac{3}{4}\sqrt {\dfrac{{2gx}}{3}} = \sqrt {\dfrac{{9 \times 2gx}}{{16 \times 3}}} = \sqrt {\dfrac{{3gx}}{8}} $
This is the final speed of the masses and the required answer.
Note: Impulse acting on a system can be defined as the sudden change in force occurring in a very short interval of time. In the given system, the impulse occurs due to the tension developed in the pulley when the lower string becomes taut.
Recently Updated Pages
Why are manures considered better than fertilizers class 11 biology CBSE

Find the coordinates of the midpoint of the line segment class 11 maths CBSE

Distinguish between static friction limiting friction class 11 physics CBSE

The Chairman of the constituent Assembly was A Jawaharlal class 11 social science CBSE

The first National Commission on Labour NCL submitted class 11 social science CBSE

Number of all subshell of n + l 7 is A 4 B 5 C 6 D class 11 chemistry CBSE

Trending doubts
What is meant by exothermic and endothermic reactions class 11 chemistry CBSE

10 examples of friction in our daily life

One Metric ton is equal to kg A 10000 B 1000 C 100 class 11 physics CBSE

1 Quintal is equal to a 110 kg b 10 kg c 100kg d 1000 class 11 physics CBSE

Difference Between Prokaryotic Cells and Eukaryotic Cells

What are Quantum numbers Explain the quantum number class 11 chemistry CBSE

