
The $ Al O {2} ^ {-} $ ion in aqueous solution exists as:
(A) $ {{\left[ Al{{\left( OH \right)}_{4}} \right]}^{-}} $
(B) $ {{\left[ Al{{\left( OH \right)}_{4}}\left( {{H}_{2}}O \right) \right]}^{-}} $
(C) $ {{\left[ Al{{\left( OH \right)}_{4}}{{\left( {{H}_{2}}O \right)}_{2}} \right]}^{-}} $
(D) $ {{\left[ Al{{\left( OH \right)}_{6}} \right]}^{-}} $
Answer
540.9k+ views
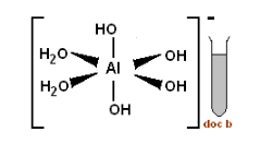
Hint: $ Al O {2} ^ {-} $ is known as aluminate ion. In aqueous solution these ions are surrounded by four water molecules. The four hydroxyl groups are formed and these along with two water molecules are held together by the coordinate bond and a complex is formed.
Complete Step by Step Solution
The aluminate ion gets surrounded by four water molecules in aqueous solution. Two of the water molecules react with the oxygen present in aluminate ions and form four hydroxyl groups. Now these four hydroxyl groups and two molecules of water are held together by coordinate bond and they form a complex $ {{\left[ Al{{(OH)}_{4}}{{({{H}_{2}}O)}_{2}} \right]}^{-}} $ .
So, the correct option is (C).
Aluminate is a polyatomic ion because it contains one aluminum atom and two oxygen atoms. This gives the whole ion a -1 oxidation state.
Additional Information
In the solvated state, an ion in a solution is surrounded by solvent molecules. Specific example of solvation is hydration, where the solvent is water. Coordinate covalent bonds are formed when one atom shares a lone pair of electrons resulting in bond formation. It is a type of covalent bond that is formed by sharing of an electron pair from a single atom rather than mutual sharing of an electron pair by two atoms.
Note
The aluminate ion forms a negative complex in aqueous solution. A negatively charged complex ion is called an anionic complex. An anion is a negatively charged ion. A complex is made up of a central metal atom surrounded by negatively charged ions or neutral molecules having a lone pair of electrons known as ligands. Examples of ligands are neutral water molecules, ammonia, carbon monoxide, etc.
Complete Step by Step Solution
The aluminate ion gets surrounded by four water molecules in aqueous solution. Two of the water molecules react with the oxygen present in aluminate ions and form four hydroxyl groups. Now these four hydroxyl groups and two molecules of water are held together by coordinate bond and they form a complex $ {{\left[ Al{{(OH)}_{4}}{{({{H}_{2}}O)}_{2}} \right]}^{-}} $ .
So, the correct option is (C).
Aluminate is a polyatomic ion because it contains one aluminum atom and two oxygen atoms. This gives the whole ion a -1 oxidation state.
Additional Information
In the solvated state, an ion in a solution is surrounded by solvent molecules. Specific example of solvation is hydration, where the solvent is water. Coordinate covalent bonds are formed when one atom shares a lone pair of electrons resulting in bond formation. It is a type of covalent bond that is formed by sharing of an electron pair from a single atom rather than mutual sharing of an electron pair by two atoms.
Note
The aluminate ion forms a negative complex in aqueous solution. A negatively charged complex ion is called an anionic complex. An anion is a negatively charged ion. A complex is made up of a central metal atom surrounded by negatively charged ions or neutral molecules having a lone pair of electrons known as ligands. Examples of ligands are neutral water molecules, ammonia, carbon monoxide, etc.
Recently Updated Pages
Why are manures considered better than fertilizers class 11 biology CBSE

Find the coordinates of the midpoint of the line segment class 11 maths CBSE

Distinguish between static friction limiting friction class 11 physics CBSE

The Chairman of the constituent Assembly was A Jawaharlal class 11 social science CBSE

The first National Commission on Labour NCL submitted class 11 social science CBSE

Number of all subshell of n + l 7 is A 4 B 5 C 6 D class 11 chemistry CBSE

Trending doubts
Differentiate between an exothermic and an endothermic class 11 chemistry CBSE

10 examples of friction in our daily life

One Metric ton is equal to kg A 10000 B 1000 C 100 class 11 physics CBSE

Difference Between Prokaryotic Cells and Eukaryotic Cells

1 Quintal is equal to a 110 kg b 10 kg c 100kg d 1000 class 11 physics CBSE

State the laws of reflection of light

