
Sum of alpha-hydrogen in $ A+B+C $ is:
(A) $ 17 $
(B) $ 18 $
(C) $ 19 $
(D) $ 20 $
Answer
515.4k+ views
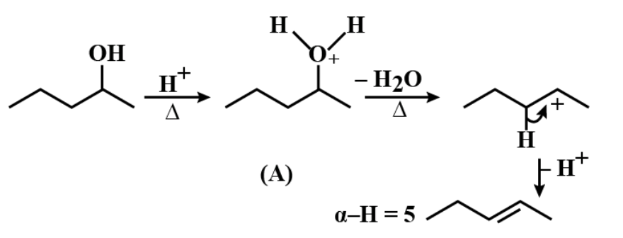
Hint: We know that the first carbon atom in an organic molecule that attaches to a functional group such as carbonyl is known as the alpha carbon and represented as $ C\alpha . $ The hydrogen atom which is attached to an alpha carbon is called alpha hydrogen and represented as $ H\alpha . $
Complete answer:
The second carbon atom in an organic molecule which attaches to the alpha carbon is known as the beta carbon and represented as $ C\beta . $ The hydrogen atom which is attached to a beta carbon is called beta hydrogen and represented as $ H\beta . $ Let us open and draw the structure given in the question and try identifying the alpha hydrogens and alpha carbons in the molecule;
The carbons marked with black stars are the alpha carbons and the hydrogens attached to hybridized alpha carbon which is directly attached to $ s{{p}^{3}} $ the carbocation are called the alpha hydrogens.
Similarly,
Therefore, Sum of alpha-hydrogen in $ A+B+C $ is $ 19. $
Note:
Remember that due to the acidic nature of alpha hydrogens in aldehydes and ketones, they undergo many reactions. The acidity of alpha hydrogen of ketones or aldehydes is due to the strong electron-withdrawing nature of the carbonyl groups and resonance stabilization of the conjugate base.
Complete answer:
The second carbon atom in an organic molecule which attaches to the alpha carbon is known as the beta carbon and represented as $ C\beta . $ The hydrogen atom which is attached to a beta carbon is called beta hydrogen and represented as $ H\beta . $ Let us open and draw the structure given in the question and try identifying the alpha hydrogens and alpha carbons in the molecule;
The carbons marked with black stars are the alpha carbons and the hydrogens attached to hybridized alpha carbon which is directly attached to $ s{{p}^{3}} $ the carbocation are called the alpha hydrogens.
Similarly,
Therefore, Sum of alpha-hydrogen in $ A+B+C $ is $ 19. $
Note:
Remember that due to the acidic nature of alpha hydrogens in aldehydes and ketones, they undergo many reactions. The acidity of alpha hydrogen of ketones or aldehydes is due to the strong electron-withdrawing nature of the carbonyl groups and resonance stabilization of the conjugate base.
Recently Updated Pages
Master Class 11 Chemistry: Engaging Questions & Answers for Success

Why are manures considered better than fertilizers class 11 biology CBSE

Find the coordinates of the midpoint of the line segment class 11 maths CBSE

Distinguish between static friction limiting friction class 11 physics CBSE

The Chairman of the constituent Assembly was A Jawaharlal class 11 social science CBSE

The first National Commission on Labour NCL submitted class 11 social science CBSE

Trending doubts
What is meant by exothermic and endothermic reactions class 11 chemistry CBSE

10 examples of friction in our daily life

One Metric ton is equal to kg A 10000 B 1000 C 100 class 11 physics CBSE

Difference Between Prokaryotic Cells and Eukaryotic Cells

What are Quantum numbers Explain the quantum number class 11 chemistry CBSE

1 Quintal is equal to a 110 kg b 10 kg c 100kg d 1000 class 11 physics CBSE

