
What is the structure for \[3,4 - \dim ethylpent - 4 - en - 1 - yne\] and \[2,3 - \dim ethylpent - 1 - en - 4 - yne\] ?
Answer
475.8k+ views
Hint: The IUPAC name can be written by considering the root word from the longest carbon chain. The substituents must be written with positions also. If there were more than one functional group, then the alphabetical order should be followed to write the IUPAC nomenclature.
Complete answer:
Alkanes are the saturated hydrocarbons consisting of carbon-carbon single \[\left( {C - C} \right)\] bonds. Alkenes are the unsaturated hydrocarbons consisting of one or more carbon-carbon double \[\left( {C = C} \right)\] bonds. Alkenes are the unsaturated hydrocarbons consisting of one or more carbon-carbon triple \[\left( {C \equiv C} \right)\] bonds.
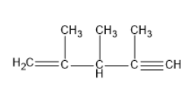
Given IUPAC name is \[3,4 - \dim ethylpent - 4 - en - 1 - yne\] which means there are two methyl groups at \[3,4\] positions, double bond at \[{4^{th}}\] position and triple bond at \[{1^{st}}\] position. The base chain which is the longest carbon chain has five carbon atoms. Thus, the root word is pent.
The structure for the IUPAC name of \[3,4 - \dim ethylpent - 4 - en - 1 - yne\] is
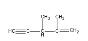
Given IUPAC name is \[2,3 - \dim ethylpent - 1 - en - 4 - yne\] which means there are two methyl groups at \[2,3,\] positions, double bond at \[{1^{st}}\] position and triple bond at \[{4^{th}}\] position. The base chain which is the longest carbon chain has five carbon atoms. Thus, the root word is pent.
The structure for the IUPAC name of \[2,3 - \dim ethylpent - 1 - en - 4 - yne\] is
Both the above two structures were the same, but the numbering was done from alkene side in one structure and from alkyne side in another structure.
Note:
When any compound consists of two functional groups, the functional group that comes first in alphabetical order should be written first. Thus, in both the structures, the IUPAC name \[2,3 - \dim ethylpent - 1 - en - 4 - yne\] is the correct one, as alkene comes first and has a lower numbering than alkynes.
Complete answer:
Alkanes are the saturated hydrocarbons consisting of carbon-carbon single \[\left( {C - C} \right)\] bonds. Alkenes are the unsaturated hydrocarbons consisting of one or more carbon-carbon double \[\left( {C = C} \right)\] bonds. Alkenes are the unsaturated hydrocarbons consisting of one or more carbon-carbon triple \[\left( {C \equiv C} \right)\] bonds.
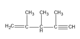
Given IUPAC name is \[3,4 - \dim ethylpent - 4 - en - 1 - yne\] which means there are two methyl groups at \[3,4\] positions, double bond at \[{4^{th}}\] position and triple bond at \[{1^{st}}\] position. The base chain which is the longest carbon chain has five carbon atoms. Thus, the root word is pent.
The structure for the IUPAC name of \[3,4 - \dim ethylpent - 4 - en - 1 - yne\] is
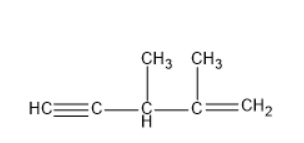
Given IUPAC name is \[2,3 - \dim ethylpent - 1 - en - 4 - yne\] which means there are two methyl groups at \[2,3,\] positions, double bond at \[{1^{st}}\] position and triple bond at \[{4^{th}}\] position. The base chain which is the longest carbon chain has five carbon atoms. Thus, the root word is pent.
The structure for the IUPAC name of \[2,3 - \dim ethylpent - 1 - en - 4 - yne\] is
Both the above two structures were the same, but the numbering was done from alkene side in one structure and from alkyne side in another structure.
Note:
When any compound consists of two functional groups, the functional group that comes first in alphabetical order should be written first. Thus, in both the structures, the IUPAC name \[2,3 - \dim ethylpent - 1 - en - 4 - yne\] is the correct one, as alkene comes first and has a lower numbering than alkynes.
Recently Updated Pages
Why are manures considered better than fertilizers class 11 biology CBSE

Find the coordinates of the midpoint of the line segment class 11 maths CBSE

Distinguish between static friction limiting friction class 11 physics CBSE

The Chairman of the constituent Assembly was A Jawaharlal class 11 social science CBSE

The first National Commission on Labour NCL submitted class 11 social science CBSE

Number of all subshell of n + l 7 is A 4 B 5 C 6 D class 11 chemistry CBSE

Trending doubts
Differentiate between an exothermic and an endothermic class 11 chemistry CBSE

10 examples of friction in our daily life

One Metric ton is equal to kg A 10000 B 1000 C 100 class 11 physics CBSE

Difference Between Prokaryotic Cells and Eukaryotic Cells

1 Quintal is equal to a 110 kg b 10 kg c 100kg d 1000 class 11 physics CBSE

State the laws of reflection of light

