
How do you simplify $\dfrac{{4{x^2} + 2x - 1}}{{x + 3}}$?
Answer
535.5k+ views
Hint: First make sure the polynomial is written in descending order. If any terms are missing, use a zero to fill in the missing term. Next, divide the term with the highest power inside the division symbol by the term with the highest power outside the division symbol. Next, multiply (or distribute) the answer obtained in the previous step by the polynomial in front of the division symbol. Next, subtract and bring down the next term. Next, divide the term with the highest power inside the division symbol by the term with the highest power outside the division symbol. Next, multiply (or distribute) the answer obtained in the previous step by the polynomial in front of the division symbol. Next, subtract and notice there are no more terms to bring down. Next, write the final answer using a division algorithm for polynomials.
Complete step by step solution:
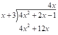
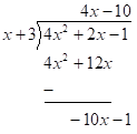
We can simplify $\dfrac{{4{x^2} + 2x - 1}}{{x + 3}}$ by dividing $4{x^2} + 2x - 1$ with $x + 3$.
So, first make sure the polynomial is written in descending order. If any terms are missing, use a zero to fill in the missing term (this will help with the spacing). In this case, the problem is ready as is.
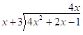
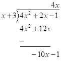
Next, divide the term with the highest power inside the division symbol by the term with the highest power outside the division symbol. In this case, we have $4{x^2}$ divided by $x$ which is $4x$.
Next, multiply (or distribute) the answer obtained in the previous step by the polynomial in front of the division symbol. In this case, we need to multiply $4x$ and $x + 3$.
Next, subtract and bring down the next term.
Next, divide the term with the highest power inside the division symbol by the term with the highest power outside the division symbol. In this case, we have $ - 10x$ divided by $x$ which is $ - 10$.
Next, multiply (or distribute) the answer obtained in the previous step by the polynomial in front of the division symbol. In this case, we need to multiply $ - 10$ and $x + 3$.
Next, subtract and notice there are no more terms to bring down.
Next, write the final answer. The term remaining after the last subtract step is the remainder and must be written as a fraction in the final answer.
$4x - 10 + \dfrac{{29}}{{x + 3}}$
Therefore, the simplified version of $\dfrac{{4{x^2} + 2x - 1}}{{x + 3}}$ is $4x - 10 + \dfrac{{29}}{{x + 3}}$.
Note:Here are the steps required for Dividing by a Polynomial Containing More Than One Term (Long Division):
Step 1: Make sure the polynomial is written in descending order. If any terms are missing, use a zero to fill in the missing term (this will help with the spacing).
Step 2: Divide the term with the highest power inside the division symbol by the term with the highest power outside the division symbol.
Step 3: Multiply (or distribute) the answer obtained in the previous step by the polynomial in front of the division symbol.
Step 4: Subtract and bring down the next term.
Step 5: Repeat Steps 2, 3, and 4 until there are no more terms to bring down.
Step 6: Write the final answer. The term remaining after the last subtract step is the remainder and must be written as a fraction in the final answer.
Complete step by step solution:
We can simplify $\dfrac{{4{x^2} + 2x - 1}}{{x + 3}}$ by dividing $4{x^2} + 2x - 1$ with $x + 3$.
So, first make sure the polynomial is written in descending order. If any terms are missing, use a zero to fill in the missing term (this will help with the spacing). In this case, the problem is ready as is.
Next, divide the term with the highest power inside the division symbol by the term with the highest power outside the division symbol. In this case, we have $4{x^2}$ divided by $x$ which is $4x$.
Next, multiply (or distribute) the answer obtained in the previous step by the polynomial in front of the division symbol. In this case, we need to multiply $4x$ and $x + 3$.
Next, subtract and bring down the next term.
Next, divide the term with the highest power inside the division symbol by the term with the highest power outside the division symbol. In this case, we have $ - 10x$ divided by $x$ which is $ - 10$.
Next, multiply (or distribute) the answer obtained in the previous step by the polynomial in front of the division symbol. In this case, we need to multiply $ - 10$ and $x + 3$.
Next, subtract and notice there are no more terms to bring down.
Next, write the final answer. The term remaining after the last subtract step is the remainder and must be written as a fraction in the final answer.
$4x - 10 + \dfrac{{29}}{{x + 3}}$
Therefore, the simplified version of $\dfrac{{4{x^2} + 2x - 1}}{{x + 3}}$ is $4x - 10 + \dfrac{{29}}{{x + 3}}$.
Note:Here are the steps required for Dividing by a Polynomial Containing More Than One Term (Long Division):
Step 1: Make sure the polynomial is written in descending order. If any terms are missing, use a zero to fill in the missing term (this will help with the spacing).
Step 2: Divide the term with the highest power inside the division symbol by the term with the highest power outside the division symbol.
Step 3: Multiply (or distribute) the answer obtained in the previous step by the polynomial in front of the division symbol.
Step 4: Subtract and bring down the next term.
Step 5: Repeat Steps 2, 3, and 4 until there are no more terms to bring down.
Step 6: Write the final answer. The term remaining after the last subtract step is the remainder and must be written as a fraction in the final answer.
Recently Updated Pages
Master Class 11 English: Engaging Questions & Answers for Success

Master Class 11 Maths: Engaging Questions & Answers for Success

Master Class 11 Biology: Engaging Questions & Answers for Success

Master Class 11 Social Science: Engaging Questions & Answers for Success

Master Class 11 Physics: Engaging Questions & Answers for Success

Master Class 11 Accountancy: Engaging Questions & Answers for Success

Trending doubts
Difference Between Plant Cell and Animal Cell

Fill the blanks with the suitable prepositions 1 The class 9 english CBSE

Which places in India experience sunrise first and class 9 social science CBSE

Who is eligible for RTE class 9 social science CBSE

What is pollution? How many types of pollution? Define it

Name 10 Living and Non living things class 9 biology CBSE


