
Rayon is chemically known as:
A.Cellulose nitrate
B.Cellulose
C.Cellulose acetate
D.Resin
Answer
575.7k+ views
Hint: The materials made up of long and repeating chains of molecules are known as polymers. The properties of these molecules depend upon the way of combination and their bonding. Polymers have good strength, some of them are hard and tough.
Complete step by step answer:
Polymers are the long repeating chains of molecules and the process of making polymers is termed as polymerisation, the units which are used to initiate polymerisation are known as monomers.
Rayon is a polymer, actually we can say it is a semi synthetic polymer. It is termed as semi synthetic because it is made up from both natural and artificial monomer units.
The natural component of semi synthetic material Rayon is cellulose which is combined with acetic acid under some conditions and the long chain of these components constitute Rayon.
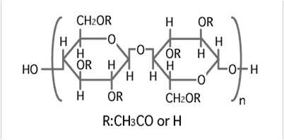
Structure of cellulose acetate:
The mechanism involved in the formation of Rayon is:
The polymerisation reaction starts from the cellulose. The cellulose is passed through the acetic anhydride in the presence of sulphuric acid at low temperature that is why it is termed as ice bath.
Now the obtained product is hydrolysed in presence of the acetic acid which will remove the sulfonyl hydroxide (a leaving group) and our cellulose acetate will be prepared.
Hence we can conclude that Rayon is a semi synthetic polymer which is made up from cellulose (obtained from plants or microorganisms) and acetic acid, therefore it is named cellulose acetate.
Therefore the correct option is C.
Note:
Cellulose acetate also known as Rayon is widely used in fabric industries. It is used as synthetic fiber in various industries such as in manufacturing of frame material of eyeglasses, playing cards and in cigarette industries.
Complete step by step answer:
Polymers are the long repeating chains of molecules and the process of making polymers is termed as polymerisation, the units which are used to initiate polymerisation are known as monomers.
Rayon is a polymer, actually we can say it is a semi synthetic polymer. It is termed as semi synthetic because it is made up from both natural and artificial monomer units.
The natural component of semi synthetic material Rayon is cellulose which is combined with acetic acid under some conditions and the long chain of these components constitute Rayon.
Structure of cellulose acetate:
The mechanism involved in the formation of Rayon is:
The polymerisation reaction starts from the cellulose. The cellulose is passed through the acetic anhydride in the presence of sulphuric acid at low temperature that is why it is termed as ice bath.
Now the obtained product is hydrolysed in presence of the acetic acid which will remove the sulfonyl hydroxide (a leaving group) and our cellulose acetate will be prepared.
Hence we can conclude that Rayon is a semi synthetic polymer which is made up from cellulose (obtained from plants or microorganisms) and acetic acid, therefore it is named cellulose acetate.
Therefore the correct option is C.
Note:
Cellulose acetate also known as Rayon is widely used in fabric industries. It is used as synthetic fiber in various industries such as in manufacturing of frame material of eyeglasses, playing cards and in cigarette industries.
Recently Updated Pages
A man running at a speed 5 ms is viewed in the side class 12 physics CBSE

State and explain Hardy Weinbergs Principle class 12 biology CBSE

Which of the following statements is wrong a Amnion class 12 biology CBSE

Two Planoconcave lenses 1 and 2 of glass of refractive class 12 physics CBSE

The compound 2 methyl 2 butene on reaction with NaIO4 class 12 chemistry CBSE

Bacterial cell wall is made up of A Cellulose B Hemicellulose class 12 biology CBSE

Trending doubts
What are the major means of transport Explain each class 12 social science CBSE

Which are the Top 10 Largest Countries of the World?

Draw a labelled sketch of the human eye class 12 physics CBSE

Explain sex determination in humans with line diag class 12 biology CBSE

The pH of the pancreatic juice is A 64 B 86 C 120 D class 12 biology CBSE

Give 10 examples of unisexual and bisexual flowers

