
What is the product in the hydroxylation of $(z) - 3 - hexene$with $Os{O_4}$?
Answer
513.6k+ views
Hint : Hydroxylation is an oxidation reaction in which the carbon-hydrogen ($C - H$) bond is broken and replaced by the carbon–hydroxyl ($C - OH$) bond. The hydroxylation reaction is often mediated by catalysts and heat in organic chemistry. Metal ions are sometimes used as catalysts in hydroxylation reactions.
Complete Step By Step Answer:
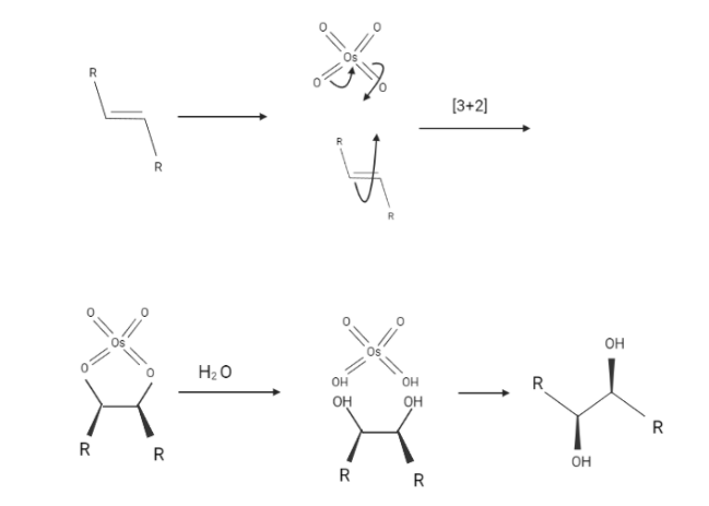
The $Os{O_4}$ reaction is a well-coordinated reaction with a cyclic intermediate and no rearrangements. Vicinal syn dihydroxylation is a step in the non dihydroxylation of an alkene that follows the epoxide-hydrolysis series. Stereocenters can form in the glycol substance when an alkene reacts with osmium tetroxide. Trans alkenes produce racemic mixtures, while cis alkenes produce meso materials.
Alkene dihydroxylation with OsO4 is a syn cycloaddition reaction that produces vicinal diols with cis stereochemistry.
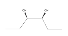
The structure of (Z)-hex-3-ene is
Because of the syn addition, all OH groups would be cis.
Note :
The reaction with alkenes has been altered due to the high cost and toxicity of Osmium tetroxide. To reduce some risks, catalytic concentrations of $Os{O_4}$ and stoichiometric amounts of an oxidizing agent such as hydrogen peroxide are still used. Also, potassium permanganate ($KMn{O_4}$), an older reagent, was used instead of $Os{O_4}$.
Complete Step By Step Answer:
The $Os{O_4}$ reaction is a well-coordinated reaction with a cyclic intermediate and no rearrangements. Vicinal syn dihydroxylation is a step in the non dihydroxylation of an alkene that follows the epoxide-hydrolysis series. Stereocenters can form in the glycol substance when an alkene reacts with osmium tetroxide. Trans alkenes produce racemic mixtures, while cis alkenes produce meso materials.
Alkene dihydroxylation with OsO4 is a syn cycloaddition reaction that produces vicinal diols with cis stereochemistry.
The structure of (Z)-hex-3-ene is
Because of the syn addition, all OH groups would be cis.
Note :
The reaction with alkenes has been altered due to the high cost and toxicity of Osmium tetroxide. To reduce some risks, catalytic concentrations of $Os{O_4}$ and stoichiometric amounts of an oxidizing agent such as hydrogen peroxide are still used. Also, potassium permanganate ($KMn{O_4}$), an older reagent, was used instead of $Os{O_4}$.
Recently Updated Pages
Why are manures considered better than fertilizers class 11 biology CBSE

Find the coordinates of the midpoint of the line segment class 11 maths CBSE

Distinguish between static friction limiting friction class 11 physics CBSE

The Chairman of the constituent Assembly was A Jawaharlal class 11 social science CBSE

The first National Commission on Labour NCL submitted class 11 social science CBSE

Number of all subshell of n + l 7 is A 4 B 5 C 6 D class 11 chemistry CBSE

Trending doubts
Differentiate between an exothermic and an endothermic class 11 chemistry CBSE

10 examples of friction in our daily life

One Metric ton is equal to kg A 10000 B 1000 C 100 class 11 physics CBSE

Difference Between Prokaryotic Cells and Eukaryotic Cells

1 Quintal is equal to a 110 kg b 10 kg c 100kg d 1000 class 11 physics CBSE

State the laws of reflection of light

