
Phenol is:
A.A base weaker than ammonia
B.An acid stronger than carbonic acid
C.An acid weaker than carbonic acid
D.A neutral compound
Answer
555.3k+ views
Hint:To solve the above question we will compare basicity or acidity of phenol with ammonia and carbonic acid. We will use the basic chemical properties of phenol. Phenol is an aromatic organic compound with a molecular formula ${C_6}{H_5}OH$.
Complete answer:
Phenol is an organic hydroxy compound that consists of a benzene ring and a single hydroxy group as a substituent. The chemical structure of phenol is given below.
Now we will check all the options one by one. So let’s consider the first option (A) A base weaker than ammonia. We know that base is a substance that accepts hydrogen ions and releases hydroxide ions. Let’s understand it with the help of a reaction.
$N{H_3} + {H_2}O\underset {} \leftrightarrows NH_4^ + + O{H^ - }$
$NH_4^ + $ The ammonium ion is formed along with the hydroxide ion. Oxygen is more electronegative than nitrogen. Ammonia is more basic than ammonia. So this potion is wrong.
Now for options (B) and (C), we will compare the acidic nature of phenol with carbonic acid. Carbonic acid is a chemical compound with a molecular formula ${H_2}C{O_3}$. So let’s try to understand it properly.
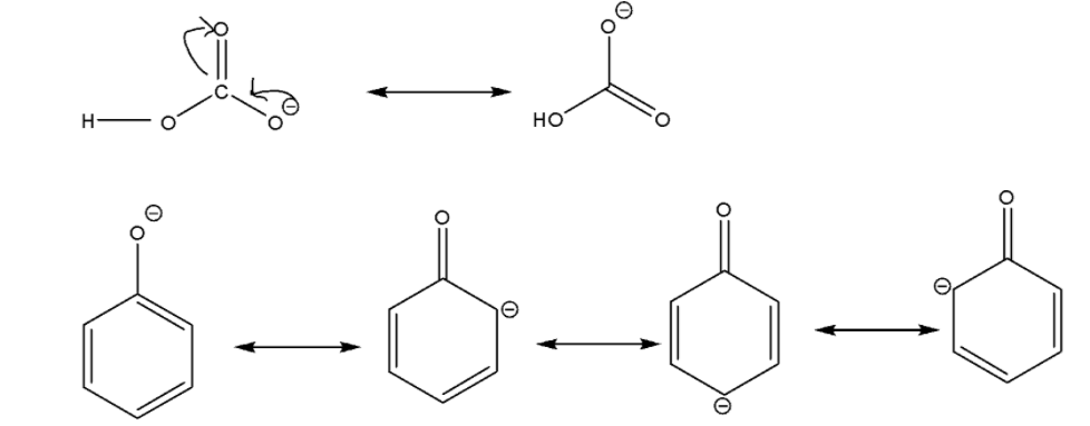
We can easily observe that carbonic acid forms bicarbonate ion and phenol forms phenoxide ion after losing ${H^ + }$ ion. Bicarbonate ions have two and phenoxide ions have four resonance structures. It will be easy for carbonic acid to lose ${H^ + }$ ion.
Now considering the last option (D) A neutral compound. We already observed that phenol is acidic.
We can conclude that phenol is an acid weaker than carbonic acid.
Therefore, the correct option is (C).
Note:
Resonance structures are the two examples of molecules in which the chemical interaction is the same but the electrons are distributed around the structure differently.
More the number of resonance structures formed, the more the stability of the chemical compound.
Complete answer:
Phenol is an organic hydroxy compound that consists of a benzene ring and a single hydroxy group as a substituent. The chemical structure of phenol is given below.
Now we will check all the options one by one. So let’s consider the first option (A) A base weaker than ammonia. We know that base is a substance that accepts hydrogen ions and releases hydroxide ions. Let’s understand it with the help of a reaction.
$N{H_3} + {H_2}O\underset {} \leftrightarrows NH_4^ + + O{H^ - }$
$NH_4^ + $ The ammonium ion is formed along with the hydroxide ion. Oxygen is more electronegative than nitrogen. Ammonia is more basic than ammonia. So this potion is wrong.
Now for options (B) and (C), we will compare the acidic nature of phenol with carbonic acid. Carbonic acid is a chemical compound with a molecular formula ${H_2}C{O_3}$. So let’s try to understand it properly.
We can easily observe that carbonic acid forms bicarbonate ion and phenol forms phenoxide ion after losing ${H^ + }$ ion. Bicarbonate ions have two and phenoxide ions have four resonance structures. It will be easy for carbonic acid to lose ${H^ + }$ ion.
Now considering the last option (D) A neutral compound. We already observed that phenol is acidic.
We can conclude that phenol is an acid weaker than carbonic acid.
Therefore, the correct option is (C).
Note:
Resonance structures are the two examples of molecules in which the chemical interaction is the same but the electrons are distributed around the structure differently.
More the number of resonance structures formed, the more the stability of the chemical compound.
Recently Updated Pages
The number of solutions in x in 02pi for which sqrt class 12 maths CBSE

Write any two methods of preparation of phenol Give class 12 chemistry CBSE

Differentiate between action potential and resting class 12 biology CBSE

Two plane mirrors arranged at right angles to each class 12 physics CBSE

Which of the following molecules is are chiral A I class 12 chemistry CBSE

Name different types of neurons and give one function class 12 biology CBSE

Trending doubts
Which are the Top 10 Largest Countries of the World?

What are the major means of transport Explain each class 12 social science CBSE

Draw a labelled sketch of the human eye class 12 physics CBSE

Differentiate between insitu conservation and exsitu class 12 biology CBSE

State the principle of an ac generator and explain class 12 physics CBSE

Differentiate between homogeneous and heterogeneous class 12 chemistry CBSE

