
p-amino azo benzene is obtained by treating diazonium chloride with:
A. Phenol
B. Benzoic acid
C. Alcohol
D. Aniline
Answer
528.3k+ views
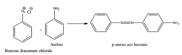
Hint: The given product name is p-amino azo benzene. The structure of the p-amino azo benzene and the structure of diazonium chloride are as follows.
Complete step-by-step answer:- In the question it is given that to find the chemical name which is going to react with diazonium chloride to give p-amino azo benzene.
- First we should know the structure of the p-amino azo benzene and the structure of diazonium chloride.
- The structure of p-amino azo benzene and the structure of diazonium chloride are as follows.
- We have to find the chemical A in the below equation.
- Coming to the options, option A. The chemical is A. Phenol. If we will take we get p-hydroxy azobenzene as the product and the chemical reaction is as follows.
- Therefore we are not getting p-amino azo benzene if we will take A is phenol. So option A is wrong.
- Coming to option B, Benzoic acid. The chemical reaction is as follows.
- Therefore option B is also not correct because we didn’t get the product that we need.
- Coming to option C, Alcohol. The chemical reaction is as follows.
- Therefore the option C is also wrong.
- Coming to option D, Aniline. The chemical reaction is as follows.
Therefore the option D, aniline is correct.
Note:By using diazonium chloride we can prepare various types of products. For example by using diazonium chloride we can prepare p-amino azo benzene as the product. It is an azo dye useful for various purposes.
Complete step-by-step answer:- In the question it is given that to find the chemical name which is going to react with diazonium chloride to give p-amino azo benzene.
- First we should know the structure of the p-amino azo benzene and the structure of diazonium chloride.
- The structure of p-amino azo benzene and the structure of diazonium chloride are as follows.
- We have to find the chemical A in the below equation.
- Coming to the options, option A. The chemical is A. Phenol. If we will take we get p-hydroxy azobenzene as the product and the chemical reaction is as follows.
- Therefore we are not getting p-amino azo benzene if we will take A is phenol. So option A is wrong.
- Coming to option B, Benzoic acid. The chemical reaction is as follows.
- Therefore option B is also not correct because we didn’t get the product that we need.
- Coming to option C, Alcohol. The chemical reaction is as follows.
- Therefore the option C is also wrong.
- Coming to option D, Aniline. The chemical reaction is as follows.
Therefore the option D, aniline is correct.
Note:By using diazonium chloride we can prepare various types of products. For example by using diazonium chloride we can prepare p-amino azo benzene as the product. It is an azo dye useful for various purposes.
Recently Updated Pages
The number of solutions in x in 02pi for which sqrt class 12 maths CBSE

Write any two methods of preparation of phenol Give class 12 chemistry CBSE

Differentiate between action potential and resting class 12 biology CBSE

Two plane mirrors arranged at right angles to each class 12 physics CBSE

Which of the following molecules is are chiral A I class 12 chemistry CBSE

Name different types of neurons and give one function class 12 biology CBSE

Trending doubts
Which are the Top 10 Largest Countries of the World?

What are the major means of transport Explain each class 12 social science CBSE

Draw a labelled sketch of the human eye class 12 physics CBSE

Differentiate between insitu conservation and exsitu class 12 biology CBSE

The computer jargonwwww stands for Aworld wide web class 12 physics CBSE

State the principle of an ac generator and explain class 12 physics CBSE

