
Pacemaker enzyme of the EMP pathway is
a) Hexokinase
b) Pyruvate kinase
c) Enolase
d) Phosphofructokinase
Answer
585k+ views
Hint: A pacemaker regulates the heartbeat and it can increase or decrease the heartbeat as per the requirements of the body. Glycolysis is also regulated through allosteric inhibition and the cell can increase or decrease its rate in response to the energy requirements.
Complete answer:
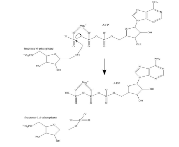
Phosphofructokinase is regarded as the pacemaker of the EMP pathway or glycolysis because it is the most important regulatory enzyme of glycolysis and it allows the cell to control the rate of glycolysis as per the energy requirement. The allosteric regulation is done by this enzyme in the step of glycolysis when fructose 6-phosphate is converted into fructose 1,6 – biphosphate with the utilization of ATP molecule. This step is also called committed step of glycolysis and if the ratio of ATP to ADP is high enough, the catalytic property of this enzyme is inhibited because ATP acts as a natural inhibitor and in turn, the rate of glycolysis is also affected because the conversion of fructose 6-phosphate is not done. In this way, this enzyme gives precise control of the glucose and other molecules that go down further in the process of glycolysis. The mechanism of action of this enzyme has been given below –
So, the correct answer is ‘Phosphofructokinase’.
Note:A genetic mutation in the enzyme PFK i.e. Phosphofructokinase leads to a condition known as Tarui’s disease. In this disease, some cells lose the ability to utilize carbohydrates as a source of energy. The symptoms include spasms, muscle weakness, myoglobin in urine, and compensated hemolysis.
Three phosphofructokinase genes are found in humans – PFKP (in platelets), PFKM (in muscles), and PFKL (in the liver).
Complete answer:
Phosphofructokinase is regarded as the pacemaker of the EMP pathway or glycolysis because it is the most important regulatory enzyme of glycolysis and it allows the cell to control the rate of glycolysis as per the energy requirement. The allosteric regulation is done by this enzyme in the step of glycolysis when fructose 6-phosphate is converted into fructose 1,6 – biphosphate with the utilization of ATP molecule. This step is also called committed step of glycolysis and if the ratio of ATP to ADP is high enough, the catalytic property of this enzyme is inhibited because ATP acts as a natural inhibitor and in turn, the rate of glycolysis is also affected because the conversion of fructose 6-phosphate is not done. In this way, this enzyme gives precise control of the glucose and other molecules that go down further in the process of glycolysis. The mechanism of action of this enzyme has been given below –
So, the correct answer is ‘Phosphofructokinase’.
Note:A genetic mutation in the enzyme PFK i.e. Phosphofructokinase leads to a condition known as Tarui’s disease. In this disease, some cells lose the ability to utilize carbohydrates as a source of energy. The symptoms include spasms, muscle weakness, myoglobin in urine, and compensated hemolysis.
Three phosphofructokinase genes are found in humans – PFKP (in platelets), PFKM (in muscles), and PFKL (in the liver).
Recently Updated Pages
Why are manures considered better than fertilizers class 11 biology CBSE

Find the coordinates of the midpoint of the line segment class 11 maths CBSE

Distinguish between static friction limiting friction class 11 physics CBSE

The Chairman of the constituent Assembly was A Jawaharlal class 11 social science CBSE

The first National Commission on Labour NCL submitted class 11 social science CBSE

Number of all subshell of n + l 7 is A 4 B 5 C 6 D class 11 chemistry CBSE

Trending doubts
Differentiate between an exothermic and an endothermic class 11 chemistry CBSE

10 examples of friction in our daily life

One Metric ton is equal to kg A 10000 B 1000 C 100 class 11 physics CBSE

Difference Between Prokaryotic Cells and Eukaryotic Cells

1 Quintal is equal to a 110 kg b 10 kg c 100kg d 1000 class 11 physics CBSE

State the laws of reflection of light

