
How will you obtain o-chlorotoluene from toluene?
Answer
447.3k+ views
Hint: Chlorotoluene exists in 3 isomeric forms- Ortho, Meta, and Para. This consists of a disubstituted benzene ring with one Chloro and one Methyl group. o-chlorotoluene or ortho chlorotoluene is actually a name given to 1-Chloro 2-Methyl toluene. It is a colorless liquid with a strong irritating odour.
Complete answer:
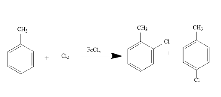
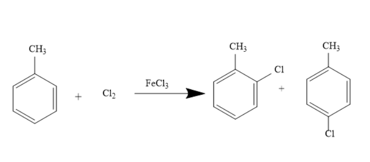
The preparation of o-chlorotoluene is possible from toluene in presence of Chlorine and Ferric chloride. This reaction is called the Chlorination reaction. It is a typical Electrophilic substitution reaction. Here Ferric chloride acts as the catalyst. The reaction is represented as under-
This reaction can also occur when toluene reacts in the presence of Chlorine and Aluminium Chloride. The reaction is represented as under-
The Chlorine is broken into $C{l^ - }$ and $C{l^ + }$ ions in the presence of a liquid catalyst. This $C{l^ + }$ ion (Electrophile) attacks the phenyl ring and hence results in the product. The Methyl group attached acts as an electron-donating group. The Methyl group in the toluene is ortho and para directing and thus the electrophilic substitution reaction occurs at the ortho and para position.
However, if the reaction occurs in absence of a catalyst the substitution occurs at the methyl group to form trichloromethyl benzene.
Note:
o-chlorotoluene has wide industrial applications. It is used as a bactericide and insecticide. It is also used in the preparation of dyes, Synthetic rubber, dyes, and pharmaceuticals. It is also used as a solvent and chemical intermediate. It can irritate the eye and skin when it comes in contact with it.
Complete answer:
The preparation of o-chlorotoluene is possible from toluene in presence of Chlorine and Ferric chloride. This reaction is called the Chlorination reaction. It is a typical Electrophilic substitution reaction. Here Ferric chloride acts as the catalyst. The reaction is represented as under-
This reaction can also occur when toluene reacts in the presence of Chlorine and Aluminium Chloride. The reaction is represented as under-
The Chlorine is broken into $C{l^ - }$ and $C{l^ + }$ ions in the presence of a liquid catalyst. This $C{l^ + }$ ion (Electrophile) attacks the phenyl ring and hence results in the product. The Methyl group attached acts as an electron-donating group. The Methyl group in the toluene is ortho and para directing and thus the electrophilic substitution reaction occurs at the ortho and para position.
However, if the reaction occurs in absence of a catalyst the substitution occurs at the methyl group to form trichloromethyl benzene.
Note:
o-chlorotoluene has wide industrial applications. It is used as a bactericide and insecticide. It is also used in the preparation of dyes, Synthetic rubber, dyes, and pharmaceuticals. It is also used as a solvent and chemical intermediate. It can irritate the eye and skin when it comes in contact with it.
Recently Updated Pages
Master Class 11 Chemistry: Engaging Questions & Answers for Success

Why are manures considered better than fertilizers class 11 biology CBSE

Find the coordinates of the midpoint of the line segment class 11 maths CBSE

Distinguish between static friction limiting friction class 11 physics CBSE

The Chairman of the constituent Assembly was A Jawaharlal class 11 social science CBSE

The first National Commission on Labour NCL submitted class 11 social science CBSE

Trending doubts
What is meant by exothermic and endothermic reactions class 11 chemistry CBSE

10 examples of friction in our daily life

One Metric ton is equal to kg A 10000 B 1000 C 100 class 11 physics CBSE

Difference Between Prokaryotic Cells and Eukaryotic Cells

What are Quantum numbers Explain the quantum number class 11 chemistry CBSE

1 Quintal is equal to a 110 kg b 10 kg c 100kg d 1000 class 11 physics CBSE

