
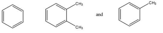
Number of secondary carbon atoms present in the below compounds are respectively:
Answer
561.9k+ views
Hint: The answer here is based on the concept of general chemistry that deals with the concept of the carbon atom that is bound to the number of hydrogen atoms in case of alkanes.
Complete answer:
The major concept of chemistry that includes the chapters based on the naming of the given compound by IUPAC rules, stability of carbocations, stability of carbanions and also primary carbons and much more are familiar to us.
Now, let us see what it means by primary, secondary and tertiary carbon of alkanes.
- Alkanes in which the carbon atom possesses three hydrogen atoms are called primary carbon atoms.
- Alkanes in which the carbon atom is attached to two hydrogen atoms then that carbon is called secondary carbon and also this applies for alkenes as already there is presence of double bond between them and that particular carbon is attached to one hydrogen atom.
- Finally, a carbon atom attached to only one hydrogen atom in case of alkanes is called tertiary carbon and here alkyne with here bonds between them and the carbon atom attached to one hydrogen atom will also be tertiary.
- Thus, in the benzene ring with double bonds alternatively between two carbon atoms where each of these carbon atoms are attached to one hydrogen is secondary. Therefore, all 6 carbons are secondary.
- In case of second compound that is o- xylene total secondary carbons are 4
- In case of third compound that is toluene it is 5
Thus, the correct answer is, the total number of secondary carbons present in the given compounds respectively are 6, 4 and 5.
Note: Note that, in general, the carbon atom if attached to only on carbon atom then it is called primary carbon, if attached to two other carbons then it becomes secondary carbon and if attached to three other carbon atoms then it is called tertiary carbon and quaternary carbon s one where the carbon is attached to four other carbon. This fact is important to note.
Complete answer:
The major concept of chemistry that includes the chapters based on the naming of the given compound by IUPAC rules, stability of carbocations, stability of carbanions and also primary carbons and much more are familiar to us.
Now, let us see what it means by primary, secondary and tertiary carbon of alkanes.
- Alkanes in which the carbon atom possesses three hydrogen atoms are called primary carbon atoms.
- Alkanes in which the carbon atom is attached to two hydrogen atoms then that carbon is called secondary carbon and also this applies for alkenes as already there is presence of double bond between them and that particular carbon is attached to one hydrogen atom.
- Finally, a carbon atom attached to only one hydrogen atom in case of alkanes is called tertiary carbon and here alkyne with here bonds between them and the carbon atom attached to one hydrogen atom will also be tertiary.
- Thus, in the benzene ring with double bonds alternatively between two carbon atoms where each of these carbon atoms are attached to one hydrogen is secondary. Therefore, all 6 carbons are secondary.
- In case of second compound that is o- xylene total secondary carbons are 4
- In case of third compound that is toluene it is 5
Thus, the correct answer is, the total number of secondary carbons present in the given compounds respectively are 6, 4 and 5.
Note: Note that, in general, the carbon atom if attached to only on carbon atom then it is called primary carbon, if attached to two other carbons then it becomes secondary carbon and if attached to three other carbon atoms then it is called tertiary carbon and quaternary carbon s one where the carbon is attached to four other carbon. This fact is important to note.
Recently Updated Pages
Why are manures considered better than fertilizers class 11 biology CBSE

Find the coordinates of the midpoint of the line segment class 11 maths CBSE

Distinguish between static friction limiting friction class 11 physics CBSE

The Chairman of the constituent Assembly was A Jawaharlal class 11 social science CBSE

The first National Commission on Labour NCL submitted class 11 social science CBSE

Number of all subshell of n + l 7 is A 4 B 5 C 6 D class 11 chemistry CBSE

Trending doubts
Differentiate between an exothermic and an endothermic class 11 chemistry CBSE

10 examples of friction in our daily life

One Metric ton is equal to kg A 10000 B 1000 C 100 class 11 physics CBSE

Difference Between Prokaryotic Cells and Eukaryotic Cells

1 Quintal is equal to a 110 kg b 10 kg c 100kg d 1000 class 11 physics CBSE

State the laws of reflection of light

