
What is the number of ${{H}_{2}}O$ molecules surrounded by each water molecule of ice through hydrogen bonds?
Answer
564.6k+ views
Hint: In order to know about how many molecules are surrounded by each water molecule, we should first know about the structure of water molecule that how many bonds it can form easily and then, we will come to know about the number of surrounded molecules easily.
Complete answer:
Now , first of let’s discuss what is hydrogen bonding. By the hydrogen bonding, we mean the weak force of attraction between the hydrogen atom and the highly electronegative atom due to which the hydrogen atom becomes partially positively charged while the electronegative atom acquires partial negative charge.
The positively polarized hydrogen of one molecule attracts and is attracted by the negatively polarized electronegative atom of the second molecule.
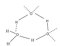
Now, coming to the structure of the water molecule. A water molecule consists of two hydrogen atoms bonded to the central metal i.e. the oxygen. We know that the water molecule has $s{{p}^{3}}$ hybridization and has bent V-shaped geometry. The structure of water molecule is as;
In this, there are two oxygen-hydrogen bonds and two lone pair of electrons are present on the oxygen atom. So, thus it means that the water molecules can form four bonds; two with the hydrogen and two with the lone pair of electrons i.e. the unshared electrons as;
Hence, the number of ${{H}_{2}}O$ molecules surrounded by each water molecule of ice through hydrogen bonds is four.
Note:
There are two conditions for H-bonding. They are as;
1. High electronegativity of the atom:- The atom which is covalently bonded to the hydrogen atom should have high electronegativity so that it can attract the shared electron pair strongly towards itself.
2. Small size of the atom:- The size of the atom bonded to hydrogen atom should be small only then it will be able to develop strong electrostatic interaction with the neighboring molecule.
Complete answer:
Now , first of let’s discuss what is hydrogen bonding. By the hydrogen bonding, we mean the weak force of attraction between the hydrogen atom and the highly electronegative atom due to which the hydrogen atom becomes partially positively charged while the electronegative atom acquires partial negative charge.
The positively polarized hydrogen of one molecule attracts and is attracted by the negatively polarized electronegative atom of the second molecule.
Now, coming to the structure of the water molecule. A water molecule consists of two hydrogen atoms bonded to the central metal i.e. the oxygen. We know that the water molecule has $s{{p}^{3}}$ hybridization and has bent V-shaped geometry. The structure of water molecule is as;
In this, there are two oxygen-hydrogen bonds and two lone pair of electrons are present on the oxygen atom. So, thus it means that the water molecules can form four bonds; two with the hydrogen and two with the lone pair of electrons i.e. the unshared electrons as;
Hence, the number of ${{H}_{2}}O$ molecules surrounded by each water molecule of ice through hydrogen bonds is four.
Note:
There are two conditions for H-bonding. They are as;
1. High electronegativity of the atom:- The atom which is covalently bonded to the hydrogen atom should have high electronegativity so that it can attract the shared electron pair strongly towards itself.
2. Small size of the atom:- The size of the atom bonded to hydrogen atom should be small only then it will be able to develop strong electrostatic interaction with the neighboring molecule.
Recently Updated Pages
Why are manures considered better than fertilizers class 11 biology CBSE

Find the coordinates of the midpoint of the line segment class 11 maths CBSE

Distinguish between static friction limiting friction class 11 physics CBSE

The Chairman of the constituent Assembly was A Jawaharlal class 11 social science CBSE

The first National Commission on Labour NCL submitted class 11 social science CBSE

Number of all subshell of n + l 7 is A 4 B 5 C 6 D class 11 chemistry CBSE

Trending doubts
Differentiate between an exothermic and an endothermic class 11 chemistry CBSE

10 examples of friction in our daily life

One Metric ton is equal to kg A 10000 B 1000 C 100 class 11 physics CBSE

Difference Between Prokaryotic Cells and Eukaryotic Cells

1 Quintal is equal to a 110 kg b 10 kg c 100kg d 1000 class 11 physics CBSE

State the laws of reflection of light

