
Name the following:
Name the acids present in the following orange, tamarind, apples, sour milk.
Answer
573k+ views
Hint: Acid is a species that can either donate a proton, or accept an electron pair from suitable base. Acidic aqueous solutions have more number of hydronium ions than hydroxide ions.
Complete answer:
For a neutral solution, the pH of the solution is equal to 7. For an acidic aqueous solution, the pH is less than 7. For a basic solution, the pH is more than 7. pH is a negative logarithm of hydronium ion concentration. Hydronium ion is obtained when a water molecule is protonated. Acid donates a proton. Base accepts a proton. The reaction between acid and base is neutralization reaction. The products are salt and water.
Some examples of acids include nitric acid, oxalic acid, sulphuric acid, hydrochloric acid and acetic acid respectively.
Acids can be classified into strong acids and weak acids. Strong acids completely dissociate in aqueous solutions whereas weak acids dissociate to a small extent.
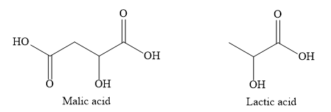
Orange contains ascorbic acid. Ascorbic acid is also called vitamin C. Tamarind contains tartaric acid. Apples contain malic acid. Sour milk contains lactic acid.
Note: Acids can be classified as monobasic, dibasic, tribasic etc, depending on the number of hydrogen ions that can be obtained from one molecule of the acid. Monobasic, dibasic, tribasic acids give one, two and three protons respectively per molecule of the acid.
Complete answer:
For a neutral solution, the pH of the solution is equal to 7. For an acidic aqueous solution, the pH is less than 7. For a basic solution, the pH is more than 7. pH is a negative logarithm of hydronium ion concentration. Hydronium ion is obtained when a water molecule is protonated. Acid donates a proton. Base accepts a proton. The reaction between acid and base is neutralization reaction. The products are salt and water.
Some examples of acids include nitric acid, oxalic acid, sulphuric acid, hydrochloric acid and acetic acid respectively.
Acids can be classified into strong acids and weak acids. Strong acids completely dissociate in aqueous solutions whereas weak acids dissociate to a small extent.
Orange contains ascorbic acid. Ascorbic acid is also called vitamin C. Tamarind contains tartaric acid. Apples contain malic acid. Sour milk contains lactic acid.
Note: Acids can be classified as monobasic, dibasic, tribasic etc, depending on the number of hydrogen ions that can be obtained from one molecule of the acid. Monobasic, dibasic, tribasic acids give one, two and three protons respectively per molecule of the acid.
Recently Updated Pages
Why are manures considered better than fertilizers class 11 biology CBSE

Find the coordinates of the midpoint of the line segment class 11 maths CBSE

Distinguish between static friction limiting friction class 11 physics CBSE

The Chairman of the constituent Assembly was A Jawaharlal class 11 social science CBSE

The first National Commission on Labour NCL submitted class 11 social science CBSE

Number of all subshell of n + l 7 is A 4 B 5 C 6 D class 11 chemistry CBSE

Trending doubts
Differentiate between an exothermic and an endothermic class 11 chemistry CBSE

10 examples of friction in our daily life

One Metric ton is equal to kg A 10000 B 1000 C 100 class 11 physics CBSE

Difference Between Prokaryotic Cells and Eukaryotic Cells

1 Quintal is equal to a 110 kg b 10 kg c 100kg d 1000 class 11 physics CBSE

State the laws of reflection of light

