
What is the molecular formula of ethanoic acid?
Answer
513k+ views
Hint :Ethanoic acid is a carboxylic acid with a methyl group and a carboxyl functional group added. Ethanoic acid is the systematic IUPAC name for acetic acid. Glacial acetic acid is an acetic acid solution that has not been dissolved.
Complete Step By Step Answer:
In the solid-state of acetic acid, a chain of molecules can be seen, with individual molecules bound by hydrogen bonds. When ethanoic acid is present in a dilute solution, the dimers can be detected also in the liquid form. Solvents that foster hydrogen bonding have a negative impact on these dimers.
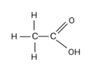
Now, to construct the molecular structure we will look into the naming nomenclature. There is an “eth” in ethanoic acid , this indicates that there are $2$carbon atoms in the compound. Now, One of these carbon atoms is attached with a carboxylic acid group as the compound name ends with “oic acid”. Hence, this carbon will be attached to double bond $O$ and single bond $OH$.
Therefore, the molecular formula for ethanoic acid is $C{H_3}COOH$.
Note :
Because of its antibacterial properties, acetic acid is used as an antiseptic. Ethanoic acid is used in the production of rayon fiber. Acetic acid has been used to cure tumors in the past by injecting it directly into the tumor. Since it is a major component of vinegar, it is used to pickle a variety of vegetables. Ethanoic acid is used in the manufacturing of rubber.
Complete Step By Step Answer:
In the solid-state of acetic acid, a chain of molecules can be seen, with individual molecules bound by hydrogen bonds. When ethanoic acid is present in a dilute solution, the dimers can be detected also in the liquid form. Solvents that foster hydrogen bonding have a negative impact on these dimers.
Now, to construct the molecular structure we will look into the naming nomenclature. There is an “eth” in ethanoic acid , this indicates that there are $2$carbon atoms in the compound. Now, One of these carbon atoms is attached with a carboxylic acid group as the compound name ends with “oic acid”. Hence, this carbon will be attached to double bond $O$ and single bond $OH$.
Therefore, the molecular formula for ethanoic acid is $C{H_3}COOH$.
Note :
Because of its antibacterial properties, acetic acid is used as an antiseptic. Ethanoic acid is used in the production of rayon fiber. Acetic acid has been used to cure tumors in the past by injecting it directly into the tumor. Since it is a major component of vinegar, it is used to pickle a variety of vegetables. Ethanoic acid is used in the manufacturing of rubber.
Recently Updated Pages
Why are manures considered better than fertilizers class 11 biology CBSE

Find the coordinates of the midpoint of the line segment class 11 maths CBSE

Distinguish between static friction limiting friction class 11 physics CBSE

The Chairman of the constituent Assembly was A Jawaharlal class 11 social science CBSE

The first National Commission on Labour NCL submitted class 11 social science CBSE

Number of all subshell of n + l 7 is A 4 B 5 C 6 D class 11 chemistry CBSE

Trending doubts
Differentiate between an exothermic and an endothermic class 11 chemistry CBSE

10 examples of friction in our daily life

One Metric ton is equal to kg A 10000 B 1000 C 100 class 11 physics CBSE

Difference Between Prokaryotic Cells and Eukaryotic Cells

1 Quintal is equal to a 110 kg b 10 kg c 100kg d 1000 class 11 physics CBSE

State the laws of reflection of light

