
Michael addition is a conjugate addition i.e, $ 1-4 $ addition. The substrates of the reaction that are involved are the compounds like $ \alpha ,\beta - $ unsaturated carbonyl compounds, esters, cyanides, quinones and $ \alpha ,\beta - $ unsaturated nitro compounds. The reagent must have at least one acidic hydrogen and must be converted into electrophile in the presence of the bases like $ OH,OR $ , secondary amine etc.
In the following reaction, the product formed is: $ C{{H}_{2}}=CHCOC{{H}_{3}}+C{{H}_{3}}C{{H}_{2}}N{{O}_{2}}\xrightarrow[CHC{{l}_{3}}]{{{\left[ {{\left( C{{H}_{3}} \right)}_{2}}CH \right]}_{2}}NH} $
(A)
(B)
(C)
(D)
Answer
528.6k+ views
Hint :Nucleophiles act as a good Michael donor as they have very good substituent groups such as acyl groups and cyano groups. This Michael donor makes the methylene hydrogen acidic and results in the formation of carbanion when it reacts with a base.
Complete step by step solution:
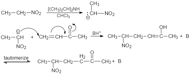
In Michael's addition reaction, with the help of base, alpha hydrogen of nitro ethane is removed. Here, the alpha carbon acts as a nucleophile that attacks on $ C-4 $ carbon of but $ -3- $ enone, it results in $ 1,4- $ addition that gives $ 5- $ nitro hexan $ -2- $ one as a product.
Mechanism
In the first step, the nitro compound is attacked by the base. The alpha hydrogen of the nitro compound is deprotonated by the base and results in the formation of a carbanion.
The carbanion becomes stable due to electron withdrawing groups.. Now the enolate ion and Michael acceptor react with each other and form a carbon- carbon bond.
Now, the compound formed by $ 1,4 $ addition of the enolate on $ \alpha ,\beta - $ unsaturated carbonyl compounds gets protonated
Let us see the mechanism:
Let us see the reaction
$ C{{H}_{2}}=CHCOC{{H}_{3}}+C{{H}_{3}}C{{H}_{2}}N{{O}_{2}}\xrightarrow[CHC{{l}_{3}}]{{{\left[ {{\left( C{{H}_{3}} \right)}_{2}}CH \right]}_{2}}NH}C{{H}_{3}}CH(N{{O}_{2}})C{{H}_{2}}C{{H}_{2}}COC{{H}_{3}} $
Therefore, the correct option is C.
Note:
Nucleophiles are electron rich species that have the ability to donate electron pairs to an electrophile so that they form a chemical bond. Any compound that has a lone pair and pi bond containing two electrons has the ability to behave like a nucleophile.
Nucleophiles are referred to as Michael donors. They are generally electron withdrawing. Substituent groups on activated unsaturated compounds are Michael acceptors. Some examples of Michael acceptors are ketone groups and nitro groups.
Complete step by step solution:
In Michael's addition reaction, with the help of base, alpha hydrogen of nitro ethane is removed. Here, the alpha carbon acts as a nucleophile that attacks on $ C-4 $ carbon of but $ -3- $ enone, it results in $ 1,4- $ addition that gives $ 5- $ nitro hexan $ -2- $ one as a product.
Mechanism
In the first step, the nitro compound is attacked by the base. The alpha hydrogen of the nitro compound is deprotonated by the base and results in the formation of a carbanion.
The carbanion becomes stable due to electron withdrawing groups.. Now the enolate ion and Michael acceptor react with each other and form a carbon- carbon bond.
Now, the compound formed by $ 1,4 $ addition of the enolate on $ \alpha ,\beta - $ unsaturated carbonyl compounds gets protonated
Let us see the mechanism:
Let us see the reaction
$ C{{H}_{2}}=CHCOC{{H}_{3}}+C{{H}_{3}}C{{H}_{2}}N{{O}_{2}}\xrightarrow[CHC{{l}_{3}}]{{{\left[ {{\left( C{{H}_{3}} \right)}_{2}}CH \right]}_{2}}NH}C{{H}_{3}}CH(N{{O}_{2}})C{{H}_{2}}C{{H}_{2}}COC{{H}_{3}} $
Therefore, the correct option is C.
Note:
Nucleophiles are electron rich species that have the ability to donate electron pairs to an electrophile so that they form a chemical bond. Any compound that has a lone pair and pi bond containing two electrons has the ability to behave like a nucleophile.
Nucleophiles are referred to as Michael donors. They are generally electron withdrawing. Substituent groups on activated unsaturated compounds are Michael acceptors. Some examples of Michael acceptors are ketone groups and nitro groups.
Recently Updated Pages
Why are manures considered better than fertilizers class 11 biology CBSE

Find the coordinates of the midpoint of the line segment class 11 maths CBSE

Distinguish between static friction limiting friction class 11 physics CBSE

The Chairman of the constituent Assembly was A Jawaharlal class 11 social science CBSE

The first National Commission on Labour NCL submitted class 11 social science CBSE

Number of all subshell of n + l 7 is A 4 B 5 C 6 D class 11 chemistry CBSE

Trending doubts
What is meant by exothermic and endothermic reactions class 11 chemistry CBSE

10 examples of friction in our daily life

One Metric ton is equal to kg A 10000 B 1000 C 100 class 11 physics CBSE

1 Quintal is equal to a 110 kg b 10 kg c 100kg d 1000 class 11 physics CBSE

Difference Between Prokaryotic Cells and Eukaryotic Cells

What are Quantum numbers Explain the quantum number class 11 chemistry CBSE

