
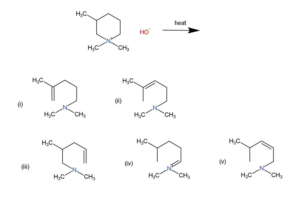
What is the major alkene formed in the following Hofmann elimination?
A. i
B. ii
C. iii
D. iv
E. v
Answer
523.2k+ views
Hint: Hofmann elimination is the reaction where an aliphatic or aromatic amine that has beta-hydrogen is converted to an unsaturated compound. It takes place in the presence of a base along with high temperature (heat).
Complete answer:
Hofmann elimination is the reaction where an amine reacts with a base to form an alkene. The amine consist of a $\beta $ - hydrogen whose removal marks the formation of a double bond. This elimination is based on the Saytzeff rule that states that the major product will be that product which is more stable.
The given compound when subjected to a base and heat, have the $\beta $ - hydrogen removed, after the removal of $\beta $ - hydrogen, the most stable carbocation will form the major product. The carbocation is stable when the saturation takes place on the $2{}^\circ $ carbocation, which is the product (i), while other products contain less stable $1{}^\circ $ carbocations. Therefore the reaction will be as follows:
Hence, the product formed is (i), so, option A is correct.
Note:
Hofmann elimination reaction and Hofmann bromamide degradation reactions are two different reactions, but both consist of a base as a reactant. Hofmann bromamide consists of the formation of aliphatic or aromatic amines from the reaction of amide, bromine and sodium hydroxide (base). Hofmann elimination is the preparation of unsaturated compounds.
Complete answer:
Hofmann elimination is the reaction where an amine reacts with a base to form an alkene. The amine consist of a $\beta $ - hydrogen whose removal marks the formation of a double bond. This elimination is based on the Saytzeff rule that states that the major product will be that product which is more stable.
The given compound when subjected to a base and heat, have the $\beta $ - hydrogen removed, after the removal of $\beta $ - hydrogen, the most stable carbocation will form the major product. The carbocation is stable when the saturation takes place on the $2{}^\circ $ carbocation, which is the product (i), while other products contain less stable $1{}^\circ $ carbocations. Therefore the reaction will be as follows:
Hence, the product formed is (i), so, option A is correct.
Note:
Hofmann elimination reaction and Hofmann bromamide degradation reactions are two different reactions, but both consist of a base as a reactant. Hofmann bromamide consists of the formation of aliphatic or aromatic amines from the reaction of amide, bromine and sodium hydroxide (base). Hofmann elimination is the preparation of unsaturated compounds.
Recently Updated Pages
Why are manures considered better than fertilizers class 11 biology CBSE

Find the coordinates of the midpoint of the line segment class 11 maths CBSE

Distinguish between static friction limiting friction class 11 physics CBSE

The Chairman of the constituent Assembly was A Jawaharlal class 11 social science CBSE

The first National Commission on Labour NCL submitted class 11 social science CBSE

Number of all subshell of n + l 7 is A 4 B 5 C 6 D class 11 chemistry CBSE

Trending doubts
Differentiate between an exothermic and an endothermic class 11 chemistry CBSE

10 examples of friction in our daily life

One Metric ton is equal to kg A 10000 B 1000 C 100 class 11 physics CBSE

Difference Between Prokaryotic Cells and Eukaryotic Cells

1 Quintal is equal to a 110 kg b 10 kg c 100kg d 1000 class 11 physics CBSE

State the laws of reflection of light

