
Industrially, ${H_2}{O_2}$ is prepared by the auto-oxidation of 2-alkyl anthraquinone.
A. True
B. False
Answer
565.8k+ views
Hint: Auto-oxidation is any oxidation that occurs in the presence of oxygen. It produces hydro peroxides and cyclic organic peroxides.
Complete step by step answer:
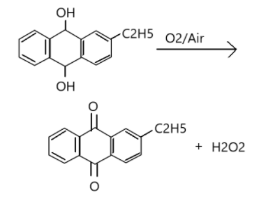
Alkyl form of anthraquinone is 2-Ethylanthraquinols. It is an organic compound that produces anthraquinone. It is a pale yellow solid which is used in the industrial production of Hydrogen Peroxide (${H_2}{O_2}$).
When 2-alkyl anthraquinone undergoes oxidation it forms 2-alkyl anthraquinone along with hydrogen peroxide (${H_2}{O_2}$). The reaction is as given below.
Therefore, the correct option is A.
Additional Information:
Anthraquinone which is also known as anthracenedione or dioxo anthracene is an aromatic organic compound with formula ${C_{14}}{H_8}{O_2}$ . Its isomers include various quinone derivatives. The term anthraquinone refers to the isomer 9,10-anthraquinone where the keto groups are located in the central ring. It is a building block of many dyes and is used in bleaching pulp for papermaking. It is a yellow, highly crystalline solid, poorly soluble in water but is soluble in hot organic solvents. It is almost completely insoluble in ethanol near room temperature but $2.25g$ will dissolve in $100g$ of boiling ethanol. It is found in nature as the rare mineral halite.
Hydrogen peroxide is a chemical compound with the formula ${H_2}{O_2}$ . In its pure form, it is a very pale blue liquid which is more viscous than water. It is the simplest peroxide which is used as an oxidizer, bleaching agent and antiseptic. Concentrated hydrogen peroxide or high-test peroxide is a reactive oxygen species and has been used as a propellant in rocketry. It is produced industrially by the anthraquinone process which involves using 2-alkyl-9,10-anthraquinones for hydrogenation. 2-ethylanthraquinone is common because of its high selectivity.
Note:
Auto oxidation is important because it is a useful reaction for converting compounds to oxygenated derivatives. Also, it occurs in situations where it is not desired. Auto oxidation of 2-Ethylanthraquinone is the main process for the formation of Hydrogen Peroxide.
Complete step by step answer:
Alkyl form of anthraquinone is 2-Ethylanthraquinols. It is an organic compound that produces anthraquinone. It is a pale yellow solid which is used in the industrial production of Hydrogen Peroxide (${H_2}{O_2}$).
When 2-alkyl anthraquinone undergoes oxidation it forms 2-alkyl anthraquinone along with hydrogen peroxide (${H_2}{O_2}$). The reaction is as given below.
Therefore, the correct option is A.
Additional Information:
Anthraquinone which is also known as anthracenedione or dioxo anthracene is an aromatic organic compound with formula ${C_{14}}{H_8}{O_2}$ . Its isomers include various quinone derivatives. The term anthraquinone refers to the isomer 9,10-anthraquinone where the keto groups are located in the central ring. It is a building block of many dyes and is used in bleaching pulp for papermaking. It is a yellow, highly crystalline solid, poorly soluble in water but is soluble in hot organic solvents. It is almost completely insoluble in ethanol near room temperature but $2.25g$ will dissolve in $100g$ of boiling ethanol. It is found in nature as the rare mineral halite.
Hydrogen peroxide is a chemical compound with the formula ${H_2}{O_2}$ . In its pure form, it is a very pale blue liquid which is more viscous than water. It is the simplest peroxide which is used as an oxidizer, bleaching agent and antiseptic. Concentrated hydrogen peroxide or high-test peroxide is a reactive oxygen species and has been used as a propellant in rocketry. It is produced industrially by the anthraquinone process which involves using 2-alkyl-9,10-anthraquinones for hydrogenation. 2-ethylanthraquinone is common because of its high selectivity.
Note:
Auto oxidation is important because it is a useful reaction for converting compounds to oxygenated derivatives. Also, it occurs in situations where it is not desired. Auto oxidation of 2-Ethylanthraquinone is the main process for the formation of Hydrogen Peroxide.
Recently Updated Pages
Why are manures considered better than fertilizers class 11 biology CBSE

Find the coordinates of the midpoint of the line segment class 11 maths CBSE

Distinguish between static friction limiting friction class 11 physics CBSE

The Chairman of the constituent Assembly was A Jawaharlal class 11 social science CBSE

The first National Commission on Labour NCL submitted class 11 social science CBSE

Number of all subshell of n + l 7 is A 4 B 5 C 6 D class 11 chemistry CBSE

Trending doubts
1 Quintal is equal to a 110 kg b 10 kg c 100kg d 1000 class 11 physics CBSE

What is Environment class 11 chemistry CBSE

Bond order ofO2 O2+ O2 and O22 is in order A O2 langle class 11 chemistry CBSE

How many squares are there in a chess board A 1296 class 11 maths CBSE

Distinguish between verbal and nonverbal communica class 11 english CBSE

The equivalent weight of Mohrs salt FeSO4 NH42SO4 6H2O class 11 chemistry CBSE

