
In which of the following reactions, the product is aromatic?
A.
B.
C.
D. All of these
Answer
502.2k+ views
Hint :Aromatic compound is identified from Huckel’s rule of aromaticity which states that for a compound to be aromatic, it must be a cyclic compound and all the carbon atoms present in the ring must be $ s{p^2} $ hybridized i.e., the ring must be planar and the ring should consist of a conjugation of $ (4n + 2)\pi $ electrons, where n is known as index of aromaticity and the value of $ n = 0,\,\;1,{\text{ 2, 3, }}... $ .
Complete Step By Step Answer:
Let us look at each given reaction separately.
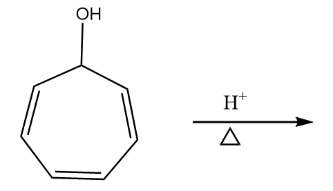
Reaction given in (A):
Step-1: The lone pair of electrons attract the hydrogen ion. The reaction proceeds as follows:
Step-2: When the compound is heated, then the removal of water molecule takes place and respective carbocation is formed. The reaction proceeds as follows:
The compound formed is tropylium ion and it has following properties:
- It is a cyclic compound
- Ring is planar i.e.; all carbon atoms are $ s{p^2} $ hybridized
- The index of aromaticity for the compound i.e., $ 4n + 2 = 6 $
$ \Rightarrow n = 1 $
So, the ion formed after the reaction is an aromatic compound.
Reaction given in (B):
As the organolithium reagent which is used in the reaction is a very good base, so it extracts the acidic hydrogen in the presence of heat and respective carbanion is formed. The reaction proceeds as follows:
The compound formed is cyclopentadienyl anion and it has following properties:
- It is a cyclic compound
- Ring is planar i.e.; all carbon atoms are $ s{p^2} $ hybridized
- The index of aromaticity for the compound i.e., $ 4n + 2 = 6 $
$ \Rightarrow n = 1 $
So, the ion formed after the reaction is an aromatic compound.
Reaction given in (C):
When a compound containing halide ion is heated in the presence of $ AgN{O_3} $ , then the formation of respective carbocation takes place along with the removal of silver halide as a precipitate. The given reaction proceeds as follows:
The compound formed is cyclopropyl cation and it has following properties:
- It is a cyclic compound
- Ring is planar i.e.; all carbon atoms are $ s{p^2} $ hybridized
- The index of aromaticity for the compound i.e., $ 4n + 2 = 2 $
$ \Rightarrow n = 0 $
So, the ion formed after the reaction is an aromatic compound.
Thus, in all the given reactions an aromatic compound is formed as a product.
So, option (D) is the correct answer.
Note :
It is important to note that a compound with planar cyclic structure but consisting of a $ 4n\pi $ electron system is known as an antiaromatic compound whereas non-planar cyclic compounds are termed as non-aromatic compounds.
Complete Step By Step Answer:
Let us look at each given reaction separately.
Reaction given in (A):
Step-1: The lone pair of electrons attract the hydrogen ion. The reaction proceeds as follows:
Step-2: When the compound is heated, then the removal of water molecule takes place and respective carbocation is formed. The reaction proceeds as follows:
The compound formed is tropylium ion and it has following properties:
- It is a cyclic compound
- Ring is planar i.e.; all carbon atoms are $ s{p^2} $ hybridized
- The index of aromaticity for the compound i.e., $ 4n + 2 = 6 $
$ \Rightarrow n = 1 $
So, the ion formed after the reaction is an aromatic compound.
Reaction given in (B):
As the organolithium reagent which is used in the reaction is a very good base, so it extracts the acidic hydrogen in the presence of heat and respective carbanion is formed. The reaction proceeds as follows:
The compound formed is cyclopentadienyl anion and it has following properties:
- It is a cyclic compound
- Ring is planar i.e.; all carbon atoms are $ s{p^2} $ hybridized
- The index of aromaticity for the compound i.e., $ 4n + 2 = 6 $
$ \Rightarrow n = 1 $
So, the ion formed after the reaction is an aromatic compound.
Reaction given in (C):
When a compound containing halide ion is heated in the presence of $ AgN{O_3} $ , then the formation of respective carbocation takes place along with the removal of silver halide as a precipitate. The given reaction proceeds as follows:
The compound formed is cyclopropyl cation and it has following properties:
- It is a cyclic compound
- Ring is planar i.e.; all carbon atoms are $ s{p^2} $ hybridized
- The index of aromaticity for the compound i.e., $ 4n + 2 = 2 $
$ \Rightarrow n = 0 $
So, the ion formed after the reaction is an aromatic compound.
Thus, in all the given reactions an aromatic compound is formed as a product.
So, option (D) is the correct answer.
Note :
It is important to note that a compound with planar cyclic structure but consisting of a $ 4n\pi $ electron system is known as an antiaromatic compound whereas non-planar cyclic compounds are termed as non-aromatic compounds.
Recently Updated Pages
Why are manures considered better than fertilizers class 11 biology CBSE

Find the coordinates of the midpoint of the line segment class 11 maths CBSE

Distinguish between static friction limiting friction class 11 physics CBSE

The Chairman of the constituent Assembly was A Jawaharlal class 11 social science CBSE

The first National Commission on Labour NCL submitted class 11 social science CBSE

Number of all subshell of n + l 7 is A 4 B 5 C 6 D class 11 chemistry CBSE

Trending doubts
Differentiate between an exothermic and an endothermic class 11 chemistry CBSE

10 examples of friction in our daily life

One Metric ton is equal to kg A 10000 B 1000 C 100 class 11 physics CBSE

Difference Between Prokaryotic Cells and Eukaryotic Cells

1 Quintal is equal to a 110 kg b 10 kg c 100kg d 1000 class 11 physics CBSE

State the laws of reflection of light

