
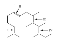
In the following structure, the double bonds are marked as I, II, III and IV. Geometrical isomerism is not possible at site (S):
A. III and IV
B. I and III
C. III
D. I
Answer
566.4k+ views
Hint: We know that isomers are described as the molecules which have the same molecular formula but different arrangement of atoms bonded to each other, they also have different chemical properties. The geometrical isomers are the isomers which have a double bond and the functional group attached to the both carbons bonded to each other via double bond have different functional groups.
Complete answer
Isomers are divided in the two branches: constitutional isomer and stereoisomer.
1. Stereoisomers are of two types: geometrical isomer and optical isomer.
2. Optical isomers are non-super impossible mirror images of the same molecule.
Functional groups should be attached to the one carbon out of the two carbon which are double bonded with each other and cannot be rotated as shown in the figure below. The carbon numbers two and three have the same functional group but the group attached to the carbon two are different, one is hydrogen and other is methyl. The methyl group should not be present on the same carbon or hydrogen should not be attached to the same carbon otherwise it will not remain the geometrical isomer.
These are geometrical isomers of but-2-ene: cis-but-2-ene same groups are present on the same side of the double bonded carbon and trans- but-2-ene functional group attached to the double bonded carbon are present in different planes i.e. above and below the plane diagonally.
The site (I) contains two identical \[C{H_3}\] groups attached to a double bond. This site will not show geometrical isomerism as they are present on the same carbon.
Hence, the answer is option (D) that is I.
Note:
Read the question carefully what it is asked. The question is which is “not” the geometrical isomer, so that the elimination of the options becomes easy.
Complete answer
Isomers are divided in the two branches: constitutional isomer and stereoisomer.
1. Stereoisomers are of two types: geometrical isomer and optical isomer.
2. Optical isomers are non-super impossible mirror images of the same molecule.
Functional groups should be attached to the one carbon out of the two carbon which are double bonded with each other and cannot be rotated as shown in the figure below. The carbon numbers two and three have the same functional group but the group attached to the carbon two are different, one is hydrogen and other is methyl. The methyl group should not be present on the same carbon or hydrogen should not be attached to the same carbon otherwise it will not remain the geometrical isomer.
These are geometrical isomers of but-2-ene: cis-but-2-ene same groups are present on the same side of the double bonded carbon and trans- but-2-ene functional group attached to the double bonded carbon are present in different planes i.e. above and below the plane diagonally.
The site (I) contains two identical \[C{H_3}\] groups attached to a double bond. This site will not show geometrical isomerism as they are present on the same carbon.
Hence, the answer is option (D) that is I.
Note:
Read the question carefully what it is asked. The question is which is “not” the geometrical isomer, so that the elimination of the options becomes easy.
Recently Updated Pages
Why are manures considered better than fertilizers class 11 biology CBSE

Find the coordinates of the midpoint of the line segment class 11 maths CBSE

Distinguish between static friction limiting friction class 11 physics CBSE

The Chairman of the constituent Assembly was A Jawaharlal class 11 social science CBSE

The first National Commission on Labour NCL submitted class 11 social science CBSE

Number of all subshell of n + l 7 is A 4 B 5 C 6 D class 11 chemistry CBSE

Trending doubts
Differentiate between an exothermic and an endothermic class 11 chemistry CBSE

10 examples of friction in our daily life

One Metric ton is equal to kg A 10000 B 1000 C 100 class 11 physics CBSE

Difference Between Prokaryotic Cells and Eukaryotic Cells

1 Quintal is equal to a 110 kg b 10 kg c 100kg d 1000 class 11 physics CBSE

State the laws of reflection of light

