
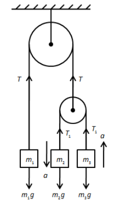
In the arrangement shown in figure, pulleys are mass less and frictionless and threads are inextensible. Block of mass \[{m_1}\] will remain at rest:
A. \[\dfrac{1}{{{m_1}}} = \dfrac{1}{{{m_2}}} + \dfrac{1}{{{m_3}}}\]
B. \[\dfrac{4}{{{m_1}}} = \dfrac{1}{{{m_2}}} + \dfrac{1}{{{m_3}}}\]
C. \[{m_1} = {m_2} + {m_3}\]
D. \[\dfrac{1}{{{m_1}}} = \dfrac{2}{{{m_2}}} + \dfrac{3}{{{m_3}}}\]
Answer
547.8k+ views
Hint: For the block of mass \[{m_1}\] to be at rest, the acceleration of this block must be zero. Assume that one of the two blocks connected to pulley B move downwards and apply Newton’s second law for both the blocks. Solve the equations simultaneously to get the required expression.
Formula used:
Newton’s second law, \[{F_{net}} = ma\],
where, m is the mass and a is the acceleration.
Complete Step by Step Answer:
For the block of mass \[{m_1}\] to be at rest, the acceleration of this block must be zero. Let the tension in the thread connected to \[{m_1}\] is T and also the tension in the thread connected to \[{m_2}\] and \[{m_3}\] is \[{T_1}\]. We assume the block \[{m_2}\] and \[{m_3}\] do not stay at rest and the block \[{m_2}\] move downward with acceleration $a$.
Thus, the block \[{m_3}\] will move upward with the same acceleration. Let us draw the free body diagram of the forces acting on the blocks as follows,
From the above figure, we can write,
\[T = {m_1}g\] …… (1)
Also, \[2{T_1} = T\]
\[ \Rightarrow {T_1} = \dfrac{T}{2}\] …… (2)
Applying Newton’s second law of motion on \[{m_2}\], we can write,
\[{T_1} - {m_2}g = - {m_2}a\]
\[ \Rightarrow {m_2}g - {T_1} = {m_2}a\] …… (3)
Applying Newton’s second law of motion on \[{m_3}\], we can write,
\[{T_1} - {m_3}g = {m_3}a\] …… (4)
Adding equation (3) and (4), we get,
\[{m_2}g - {m_3}g = \left( {{m_2} + {m_3}} \right)a\]
\[ \Rightarrow a = \left( {\dfrac{{{m_2} - {m_3}}}{{{m_2} + {m_3}}}} \right)g\]
Substituting the value of a in equation (4), we get,
\[{T_1} - {m_3}g = {m_3}\left( {\dfrac{{{m_2} - {m_3}}}{{{m_2} + {m_3}}}} \right)g\]
\[ \Rightarrow {T_1} = {m_3}\left( {\dfrac{{{m_2} - {m_3}}}{{{m_2} + {m_3}}}} \right)g + {m_3}g\]
\[ \Rightarrow {T_1} = {m_3}g\left( {\dfrac{{{m_2} - {m_3}}}{{{m_2} + {m_3}}} + 1} \right)\]
\[ \Rightarrow {T_1} = {m_3}g\left( {\dfrac{{{m_2} - {m_3} + {m_2} + {m_3}}}{{{m_2} + {m_3}}}} \right)\]
\[ \Rightarrow {T_1} = {m_3}g\left( {\dfrac{{2{m_2}}}{{{m_2} + {m_3}}}} \right)\]
\[ \Rightarrow {T_1} = \left( {\dfrac{{2{m_2}{m_3}}}{{{m_2} + {m_3}}}} \right)g\]
Substituting \[{T_1} = \dfrac{T}{2}\] from equation (2) in the above equation, we get,
\[\dfrac{T}{2} = \left( {\dfrac{{2{m_2}{m_3}}}{{{m_2} + {m_3}}}} \right)g\]
\[ \Rightarrow T = \left( {\dfrac{{4{m_2}{m_3}}}{{{m_2} + {m_3}}}} \right)g\]
Substituting \[T = {m_1}g\] from equation (1) in the above equation, we get,
\[{m_1}g = \left( {\dfrac{{4{m_2}{m_3}}}{{{m_2} + {m_3}}}} \right)g\]
\[ \Rightarrow {m_1} = \left( {\dfrac{{4{m_2}{m_3}}}{{{m_2} + {m_3}}}} \right)\]
\[ \Rightarrow {m_2} + {m_3} = \dfrac{4}{{{m_1}}}{m_2}{m_3}\]
\[ \Rightarrow \dfrac{{{m_2}}}{{{m_2}{m_3}}} + \dfrac{{{m_3}}}{{{m_2}{m_3}}} = \dfrac{4}{{{m_1}}}\]
\[ \Rightarrow \dfrac{1}{{{m_3}}} + \dfrac{1}{{{m_2}}} = \dfrac{4}{{{m_1}}}\]
\[ \therefore \dfrac{4}{{{m_1}}} = \dfrac{1}{{{m_2}}} + \dfrac{1}{{{m_3}}}\]
So, the correct answer is option B.
Note:The direction of tension should always be towards the rigid support and the direction of weight should be towards the ground irrespective of the inclination. For the first block to do not move, both pulleys A and B also should not move. If the direction of the acceleration is downwards, the force also has the direction of acceleration according to Newton’s second law of motion.
Formula used:
Newton’s second law, \[{F_{net}} = ma\],
where, m is the mass and a is the acceleration.
Complete Step by Step Answer:
For the block of mass \[{m_1}\] to be at rest, the acceleration of this block must be zero. Let the tension in the thread connected to \[{m_1}\] is T and also the tension in the thread connected to \[{m_2}\] and \[{m_3}\] is \[{T_1}\]. We assume the block \[{m_2}\] and \[{m_3}\] do not stay at rest and the block \[{m_2}\] move downward with acceleration $a$.
Thus, the block \[{m_3}\] will move upward with the same acceleration. Let us draw the free body diagram of the forces acting on the blocks as follows,
From the above figure, we can write,
\[T = {m_1}g\] …… (1)
Also, \[2{T_1} = T\]
\[ \Rightarrow {T_1} = \dfrac{T}{2}\] …… (2)
Applying Newton’s second law of motion on \[{m_2}\], we can write,
\[{T_1} - {m_2}g = - {m_2}a\]
\[ \Rightarrow {m_2}g - {T_1} = {m_2}a\] …… (3)
Applying Newton’s second law of motion on \[{m_3}\], we can write,
\[{T_1} - {m_3}g = {m_3}a\] …… (4)
Adding equation (3) and (4), we get,
\[{m_2}g - {m_3}g = \left( {{m_2} + {m_3}} \right)a\]
\[ \Rightarrow a = \left( {\dfrac{{{m_2} - {m_3}}}{{{m_2} + {m_3}}}} \right)g\]
Substituting the value of a in equation (4), we get,
\[{T_1} - {m_3}g = {m_3}\left( {\dfrac{{{m_2} - {m_3}}}{{{m_2} + {m_3}}}} \right)g\]
\[ \Rightarrow {T_1} = {m_3}\left( {\dfrac{{{m_2} - {m_3}}}{{{m_2} + {m_3}}}} \right)g + {m_3}g\]
\[ \Rightarrow {T_1} = {m_3}g\left( {\dfrac{{{m_2} - {m_3}}}{{{m_2} + {m_3}}} + 1} \right)\]
\[ \Rightarrow {T_1} = {m_3}g\left( {\dfrac{{{m_2} - {m_3} + {m_2} + {m_3}}}{{{m_2} + {m_3}}}} \right)\]
\[ \Rightarrow {T_1} = {m_3}g\left( {\dfrac{{2{m_2}}}{{{m_2} + {m_3}}}} \right)\]
\[ \Rightarrow {T_1} = \left( {\dfrac{{2{m_2}{m_3}}}{{{m_2} + {m_3}}}} \right)g\]
Substituting \[{T_1} = \dfrac{T}{2}\] from equation (2) in the above equation, we get,
\[\dfrac{T}{2} = \left( {\dfrac{{2{m_2}{m_3}}}{{{m_2} + {m_3}}}} \right)g\]
\[ \Rightarrow T = \left( {\dfrac{{4{m_2}{m_3}}}{{{m_2} + {m_3}}}} \right)g\]
Substituting \[T = {m_1}g\] from equation (1) in the above equation, we get,
\[{m_1}g = \left( {\dfrac{{4{m_2}{m_3}}}{{{m_2} + {m_3}}}} \right)g\]
\[ \Rightarrow {m_1} = \left( {\dfrac{{4{m_2}{m_3}}}{{{m_2} + {m_3}}}} \right)\]
\[ \Rightarrow {m_2} + {m_3} = \dfrac{4}{{{m_1}}}{m_2}{m_3}\]
\[ \Rightarrow \dfrac{{{m_2}}}{{{m_2}{m_3}}} + \dfrac{{{m_3}}}{{{m_2}{m_3}}} = \dfrac{4}{{{m_1}}}\]
\[ \Rightarrow \dfrac{1}{{{m_3}}} + \dfrac{1}{{{m_2}}} = \dfrac{4}{{{m_1}}}\]
\[ \therefore \dfrac{4}{{{m_1}}} = \dfrac{1}{{{m_2}}} + \dfrac{1}{{{m_3}}}\]
So, the correct answer is option B.
Note:The direction of tension should always be towards the rigid support and the direction of weight should be towards the ground irrespective of the inclination. For the first block to do not move, both pulleys A and B also should not move. If the direction of the acceleration is downwards, the force also has the direction of acceleration according to Newton’s second law of motion.
Recently Updated Pages
Why are manures considered better than fertilizers class 11 biology CBSE

Find the coordinates of the midpoint of the line segment class 11 maths CBSE

Distinguish between static friction limiting friction class 11 physics CBSE

The Chairman of the constituent Assembly was A Jawaharlal class 11 social science CBSE

The first National Commission on Labour NCL submitted class 11 social science CBSE

Number of all subshell of n + l 7 is A 4 B 5 C 6 D class 11 chemistry CBSE

Trending doubts
Differentiate between an exothermic and an endothermic class 11 chemistry CBSE

10 examples of friction in our daily life

One Metric ton is equal to kg A 10000 B 1000 C 100 class 11 physics CBSE

Difference Between Prokaryotic Cells and Eukaryotic Cells

1 Quintal is equal to a 110 kg b 10 kg c 100kg d 1000 class 11 physics CBSE

State the laws of reflection of light

