
In Reimer- Tiemann reaction, reactants are:
A.Phenol, $CHC{l_3}$ and alkali
B.Phenol, $CC{l_4}$ and alkali
C.Aniline, $CHC{l_3}$ and alkali
D.Both phenol, $CHC{l_3}$ and alkali and phenol $CC{l_4}$ and alkali
Answer
564.3k+ views
Hint: To solve this question we need to know what Reimer- Tiemann reaction is. It is a type of substitution reaction used for the ortho-formylation of ${C_6}{H_5}OH$ i.e. phenols. Since hydroxides are not readily soluble in chloroform, a biphasic solvent system is employed to carry out this reaction.
Complete step by step answer:
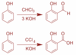
The Reimer Tiemann reaction is named after the scientist Karl Riemann and Ferdinand Tiemann. In this reaction, when phenol is treated with $CHC{l_3}$ in presence of NaOH and an aldehyde group is introduced at the ortho position of benzene ring leading to the formation of o-hydroxybenzaldehyde.
Now, in this reaction the reactants are both Phenol, $CHC{l_3}$ and alkali and phenol, $CC{l_4}$ and alkali. Basically, when phenol, $CHC{l_3}$ and alkali are used, the product is salicylaldehyde whereas when phenol, $CC{l_4}$ and alkali are used, the product is salicylic acid. The reactions are as shown:
Moreover, the reaction is quite effective when other hydroxyl-aromatic compounds are used such as naphthol. The heterocyclic compounds that are quite rich in electrons such as pyrroles and indoles also undergo this reaction. This reaction is prone to thermal runaways. This is due to the fact that once the reaction starts, it can prove to be highly exothermic and the reaction rate is also increased.
Hence, option D is correct.
Note:However, the direct formulation of aromatic compounds can be accomplished by various methods such as Gattermann reaction, Duff reaction and many more. But in terms of ease and safety of operations, the Reimer-Tiemann reaction is often considered as the most advantageous route in chemical synthesis.
Complete step by step answer:
The Reimer Tiemann reaction is named after the scientist Karl Riemann and Ferdinand Tiemann. In this reaction, when phenol is treated with $CHC{l_3}$ in presence of NaOH and an aldehyde group is introduced at the ortho position of benzene ring leading to the formation of o-hydroxybenzaldehyde.
Now, in this reaction the reactants are both Phenol, $CHC{l_3}$ and alkali and phenol, $CC{l_4}$ and alkali. Basically, when phenol, $CHC{l_3}$ and alkali are used, the product is salicylaldehyde whereas when phenol, $CC{l_4}$ and alkali are used, the product is salicylic acid. The reactions are as shown:
Moreover, the reaction is quite effective when other hydroxyl-aromatic compounds are used such as naphthol. The heterocyclic compounds that are quite rich in electrons such as pyrroles and indoles also undergo this reaction. This reaction is prone to thermal runaways. This is due to the fact that once the reaction starts, it can prove to be highly exothermic and the reaction rate is also increased.
Hence, option D is correct.
Note:However, the direct formulation of aromatic compounds can be accomplished by various methods such as Gattermann reaction, Duff reaction and many more. But in terms of ease and safety of operations, the Reimer-Tiemann reaction is often considered as the most advantageous route in chemical synthesis.
Recently Updated Pages
Master Class 11 Social Science: Engaging Questions & Answers for Success

Master Class 11 Physics: Engaging Questions & Answers for Success

Master Class 11 Maths: Engaging Questions & Answers for Success

Master Class 11 Economics: Engaging Questions & Answers for Success

Master Class 11 Computer Science: Engaging Questions & Answers for Success

Master Class 11 Chemistry: Engaging Questions & Answers for Success

Trending doubts
What is meant by exothermic and endothermic reactions class 11 chemistry CBSE

10 examples of friction in our daily life

One Metric ton is equal to kg A 10000 B 1000 C 100 class 11 physics CBSE

Difference Between Prokaryotic Cells and Eukaryotic Cells

1 Quintal is equal to a 110 kg b 10 kg c 100kg d 1000 class 11 physics CBSE

Draw a diagram of nephron and explain its structur class 11 biology CBSE

