
In $C{H_3}COOH$ molecule, the $C - C$ bond is formed by:
A. $s{p^3} - s{p^3}$overlap
B. $s{p^2} - s{p^2}$ overlap
C. $s{p^3} - s{p^2}$ overlap
D. $s{p^3} - sp$ overlap
Answer
567.3k+ views
Hint: Acetic acid also known as ethanoic acid is an organic compound with chemical formula $C{H_3}COOH$. The functional group present in this compound is carboxylic acid i.e. $ - COOH$.
Complete answer
In acetic acid, we have two carbon atoms,4 hydrogen atoms and two oxygen atoms. Hybridisation is known as intermixing of atomic orbitals. These atomic orbitals must have the same energy and after the recombination their orbitals will lead to the making of hybrid orbitals. These hybrid orbitals are having equivalent energy. The total number of hybrid orbitals must be equal to the sum of all intermixing orbitals.
In $sp$ hybridisation, one $s$ orbital and one $p$ orbitals will mix to form another two hybrid orbitals which are equivalent in same size and energy. This $sp$ hybridisation is diagonal in shape. And it contains a $50\% $$s$ and $50\% $ $p$ orbitals. In $s{p^2}$hybridisation, one ${\rm{s}}$ orbital and two \[p\]orbitals will mix to form three hybrid orbitals which are equivalent in same size and energy. This $s{p^2}$ hybridisation is trigonal planar in shape. In $s{p^3}$ hybridisation one ${\rm{s}}$ orbital and three $p$ orbitals will mix to form another four hybrid orbitals which is equivalent in size and energy. This $s{p^3}$ hybridisation is tetrahedral in shape.
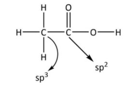
In case of ethanoic acid, the carbon of methyl group combines with three hydrogen atoms and one adjacent carbon. In case of carbon $2p$ is the valence subshell and hydrogen has $1s$ valence subshell. So, there will be four $s - p$ hybrid orbitals. So, the hybridisation of methyl carbon will be $s{p^3}$.While in case of carboxylate carbon atom carbon forms three $s - p$ hybrid orbitals. So, the hybridisation of carbon in the carboxylate group will be $s{p^2}$. The structure of $C{H_3}COOH$ showing these hybridisations is shown below.
Hence, the $C - C$ bond is formed by $s{p^3} - s{p^2}$overlap.
Hence, option C is correct.
Note
The examples of molecules with $sp$hybridisation will be carbon dioxide, Beryllium chloride etc. And the examples of molecules with $s{p^2}$hybridisation is boron trifluoride, ethylene. And the examples of molecules with $s{p^3}$hybridisation will be methane, ethane etc.
Complete answer
In acetic acid, we have two carbon atoms,4 hydrogen atoms and two oxygen atoms. Hybridisation is known as intermixing of atomic orbitals. These atomic orbitals must have the same energy and after the recombination their orbitals will lead to the making of hybrid orbitals. These hybrid orbitals are having equivalent energy. The total number of hybrid orbitals must be equal to the sum of all intermixing orbitals.
In $sp$ hybridisation, one $s$ orbital and one $p$ orbitals will mix to form another two hybrid orbitals which are equivalent in same size and energy. This $sp$ hybridisation is diagonal in shape. And it contains a $50\% $$s$ and $50\% $ $p$ orbitals. In $s{p^2}$hybridisation, one ${\rm{s}}$ orbital and two \[p\]orbitals will mix to form three hybrid orbitals which are equivalent in same size and energy. This $s{p^2}$ hybridisation is trigonal planar in shape. In $s{p^3}$ hybridisation one ${\rm{s}}$ orbital and three $p$ orbitals will mix to form another four hybrid orbitals which is equivalent in size and energy. This $s{p^3}$ hybridisation is tetrahedral in shape.
In case of ethanoic acid, the carbon of methyl group combines with three hydrogen atoms and one adjacent carbon. In case of carbon $2p$ is the valence subshell and hydrogen has $1s$ valence subshell. So, there will be four $s - p$ hybrid orbitals. So, the hybridisation of methyl carbon will be $s{p^3}$.While in case of carboxylate carbon atom carbon forms three $s - p$ hybrid orbitals. So, the hybridisation of carbon in the carboxylate group will be $s{p^2}$. The structure of $C{H_3}COOH$ showing these hybridisations is shown below.
Hence, the $C - C$ bond is formed by $s{p^3} - s{p^2}$overlap.
Hence, option C is correct.
Note
The examples of molecules with $sp$hybridisation will be carbon dioxide, Beryllium chloride etc. And the examples of molecules with $s{p^2}$hybridisation is boron trifluoride, ethylene. And the examples of molecules with $s{p^3}$hybridisation will be methane, ethane etc.
Recently Updated Pages
Why are manures considered better than fertilizers class 11 biology CBSE

Find the coordinates of the midpoint of the line segment class 11 maths CBSE

Distinguish between static friction limiting friction class 11 physics CBSE

The Chairman of the constituent Assembly was A Jawaharlal class 11 social science CBSE

The first National Commission on Labour NCL submitted class 11 social science CBSE

Number of all subshell of n + l 7 is A 4 B 5 C 6 D class 11 chemistry CBSE

Trending doubts
Differentiate between an exothermic and an endothermic class 11 chemistry CBSE

10 examples of friction in our daily life

One Metric ton is equal to kg A 10000 B 1000 C 100 class 11 physics CBSE

Difference Between Prokaryotic Cells and Eukaryotic Cells

1 Quintal is equal to a 110 kg b 10 kg c 100kg d 1000 class 11 physics CBSE

State the laws of reflection of light

