
If x-a is a factor of $p\left( x \right)={{x}^{3}}-3{{x}^{2}}a+2{{a}^{2}}x+b$, the the value of b is
[a] 0
[b] 2
[c] 1
[d] 3
Answer
589.2k+ views
Hint: Use factor theorem. According to factor theorem, if x-a is a factor of p(x), then p(a) = 0. Use factor theorem and hence form an equation in b. Solve for b. The value of b gives the value such that x-a is a factor of p(x).
Complete step-by-step answer:
Alternatively, use synthetic division to determine at what value of b is x-a a factor of p(x).
We have $p\left( x \right)={{x}^{3}}-3{{x}^{2}}a+2{{a}^{2}}x+b$.
Since x-a is a factor of p(x), we have
$p\left( x \right)=\left( x-a \right)g\left( x \right)$ where g(x) is another polynomial of lower degree.
Put x = a, we get
$p\left( a \right)=\left( a-a \right)g\left( a \right)=0$
Hence, we have
p(a) =0.
Now, we have
$p\left( x \right)={{x}^{3}}-3{{x}^{2}}a+2{{a}^{2}}x+b$
Put x = a in the expression of p(x), we get
$p\left( a \right)={{\left( a \right)}^{3}}-3{{a}^{2}}a+2{{a}^{2}}a+b={{a}^{3}}-3{{a}^{3}}+2{{a}^{3}}+b=b$
Hence, p(a) = b
But p(a) = 0
Hence, we have
b =0
Hence the value of b at which x-a is a factor of p(x) is 0.
Hence option [a] is correct.
Note: Alternative solution: Best Method: Synthetic division.
In this method, we start by writing coefficients of the polynomial in order from the highest degree to the constant term. If in between some degree terms are missing, we set their coefficient as 0.
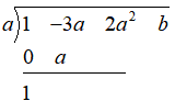
Hence $p\left( x \right)={{x}^{3}}-3a{{x}^{3}}+2{{a}^{2}}x+b$ will be written as
Now each the point which has to be substituted(say x= a) is written as follows
0 is placed below the first term
Now the terms under the same column are added. The sum is then multiplied with the root, and the product is written under the coefficient of the next term.
Hence, we have
Continuing in this way we have the following
Since the last sum is b, we have $p\left( a \right)=b$.
Hence, b = 0 by factor theorem.
Complete step-by-step answer:
Alternatively, use synthetic division to determine at what value of b is x-a a factor of p(x).
We have $p\left( x \right)={{x}^{3}}-3{{x}^{2}}a+2{{a}^{2}}x+b$.
Since x-a is a factor of p(x), we have
$p\left( x \right)=\left( x-a \right)g\left( x \right)$ where g(x) is another polynomial of lower degree.
Put x = a, we get
$p\left( a \right)=\left( a-a \right)g\left( a \right)=0$
Hence, we have
p(a) =0.
Now, we have
$p\left( x \right)={{x}^{3}}-3{{x}^{2}}a+2{{a}^{2}}x+b$
Put x = a in the expression of p(x), we get
$p\left( a \right)={{\left( a \right)}^{3}}-3{{a}^{2}}a+2{{a}^{2}}a+b={{a}^{3}}-3{{a}^{3}}+2{{a}^{3}}+b=b$
Hence, p(a) = b
But p(a) = 0
Hence, we have
b =0
Hence the value of b at which x-a is a factor of p(x) is 0.
Hence option [a] is correct.
Note: Alternative solution: Best Method: Synthetic division.
In this method, we start by writing coefficients of the polynomial in order from the highest degree to the constant term. If in between some degree terms are missing, we set their coefficient as 0.
Hence $p\left( x \right)={{x}^{3}}-3a{{x}^{3}}+2{{a}^{2}}x+b$ will be written as
Now each the point which has to be substituted(say x= a) is written as follows
0 is placed below the first term
Now the terms under the same column are added. The sum is then multiplied with the root, and the product is written under the coefficient of the next term.
Hence, we have
Continuing in this way we have the following
Since the last sum is b, we have $p\left( a \right)=b$.
Hence, b = 0 by factor theorem.
Recently Updated Pages
Master Class 10 General Knowledge: Engaging Questions & Answers for Success

Master Class 10 Computer Science: Engaging Questions & Answers for Success

Master Class 10 English: Engaging Questions & Answers for Success

Master Class 10 Social Science: Engaging Questions & Answers for Success

Master Class 10 Maths: Engaging Questions & Answers for Success

Master Class 10 Science: Engaging Questions & Answers for Success

Trending doubts
Write a letter to the principal requesting him to grant class 10 english CBSE

Which of the following does not have a fundamental class 10 physics CBSE

State and prove the Pythagoras theorem-class-10-maths-CBSE

State BPT theorem and prove it class 10 maths CBSE

What is UltraEdge (Snickometer) used for in cricket?

Write the difference between soap and detergent class 10 chemistry CBSE

