
If the polynomial \[6{x^4} + 8{x^3} + 17{x^2} + 21x + 7\] is divided by another polynomial \[3{x^2} + 4x + 1\] the remainder comes out to be \[ax + b\]. Find \[a\] and \[b\].
A) \[0,1\]
B) \[1,2\]
C) \[1, - 1\]
D) \[ - 1,2\]
Answer
545.4k+ views
Hint:
Here, we will use the method of long division and divide the given Dividend by the Divisor to get the required remainder. Comparing the remainder by \[ax + b\], we will get the required values of \[a\] and \[b\] respectively.
Complete step by step solution:
We will use the method of long division to find the required remainder.
According to the question, Dividend i.e. the number which we are required to divide is \[6{x^4} + 8{x^3} + 17{x^2} + 21x + 7\]
And the Divisor, i.e. the number by which the above number is to be divided is \[3{x^2} + 4x + 1\].
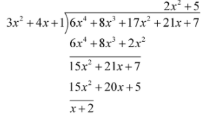
Hence, by using long division method:
Hence, the quotient is \[2{x^2} + 5\] and the remainder is \[x + 2\]
Now, according to the question, we are given that the remainder comes out to be \[ax + b\].
So, writing the given remainder in \[ax + b\] form, we get
\[x + 2 = \left( 1 \right)x + \left( 2 \right)\]
Now comparing them together he two expression, we get
\[\left( 1 \right)x + \left( 2 \right) = ax + b\]
We can see that, \[a = 1\] and \[b = 2\]
Therefore, the required values of \[a\] and \[b\] are \[1,2\] respectively
Hence, option B is the correct answer.
Note:
We will check whether we have found the correct quotient and remainder or not by using the formula:
Dividend \[ = \] Divisor \[ \times \] Quotient \[ + \] Remainder
Substituting the values in this equation,
\[ \Rightarrow 6{x^4} + 8{x^3} + 17{x^2} + 21x + 7 = \left( {3{x^2} + 4x + 1} \right)\left( {2{x^2} + 5} \right) + x + 2\]
Now, solving for RHS by opening the brackets,
RHS \[ = 3{x^2}\left( {2{x^2} + 5} \right) + 4x\left( {2{x^2} + 5} \right) + 1\left( {2{x^2} + 5} \right) + x + 2\]
\[ \Rightarrow \] RHS \[ = 6{x^4} + 15{x^2} + 8{x^3} + 20x + 2{x^2} + 5 + x + 2\]
Hence, solving further, we get,
RHS \[ = 6{x^4} + 8{x^3} + 17{x^2} + 21x + 7\]
Clearly, RHS \[ = \] LHS (which is the dividend)
Hence, we have verified that our answer is correct.
Therefore, we can always check for our answer using this formula.
Here, we will use the method of long division and divide the given Dividend by the Divisor to get the required remainder. Comparing the remainder by \[ax + b\], we will get the required values of \[a\] and \[b\] respectively.
Complete step by step solution:
We will use the method of long division to find the required remainder.
According to the question, Dividend i.e. the number which we are required to divide is \[6{x^4} + 8{x^3} + 17{x^2} + 21x + 7\]
And the Divisor, i.e. the number by which the above number is to be divided is \[3{x^2} + 4x + 1\].
Hence, by using long division method:
Hence, the quotient is \[2{x^2} + 5\] and the remainder is \[x + 2\]
Now, according to the question, we are given that the remainder comes out to be \[ax + b\].
So, writing the given remainder in \[ax + b\] form, we get
\[x + 2 = \left( 1 \right)x + \left( 2 \right)\]
Now comparing them together he two expression, we get
\[\left( 1 \right)x + \left( 2 \right) = ax + b\]
We can see that, \[a = 1\] and \[b = 2\]
Therefore, the required values of \[a\] and \[b\] are \[1,2\] respectively
Hence, option B is the correct answer.
Note:
We will check whether we have found the correct quotient and remainder or not by using the formula:
Dividend \[ = \] Divisor \[ \times \] Quotient \[ + \] Remainder
Substituting the values in this equation,
\[ \Rightarrow 6{x^4} + 8{x^3} + 17{x^2} + 21x + 7 = \left( {3{x^2} + 4x + 1} \right)\left( {2{x^2} + 5} \right) + x + 2\]
Now, solving for RHS by opening the brackets,
RHS \[ = 3{x^2}\left( {2{x^2} + 5} \right) + 4x\left( {2{x^2} + 5} \right) + 1\left( {2{x^2} + 5} \right) + x + 2\]
\[ \Rightarrow \] RHS \[ = 6{x^4} + 15{x^2} + 8{x^3} + 20x + 2{x^2} + 5 + x + 2\]
Hence, solving further, we get,
RHS \[ = 6{x^4} + 8{x^3} + 17{x^2} + 21x + 7\]
Clearly, RHS \[ = \] LHS (which is the dividend)
Hence, we have verified that our answer is correct.
Therefore, we can always check for our answer using this formula.
Recently Updated Pages
Master Class 9 Social Science: Engaging Questions & Answers for Success

Master Class 9 Science: Engaging Questions & Answers for Success

Master Class 9 English: Engaging Questions & Answers for Success

Master Class 9 Maths: Engaging Questions & Answers for Success

Master Class 11 Economics: Engaging Questions & Answers for Success

Master Class 11 English: Engaging Questions & Answers for Success

Trending doubts
What is the Full Form of ISI and RAW

Golden Revolution is related to AFood production BOil class 9 social science CBSE

Which is the longest day and the shortest night in class 9 social science CBSE

Which are the Top 10 Largest States of India?

Why did Aurangzeb ban the playing of the pungi Answer class 9 english CBSE

Distinguish between the following Ferrous and nonferrous class 9 social science CBSE

