
If the lower spring is cut, find the acceleration of the blocks, immediately after cutting the spring.
Answer
563.4k+ views
Hint: Use the free body diagram to denote all the forces acting on the blocks. A force acts on the block in a direction opposite to the elongation or stretch in the spring. Use Newton's second law to determine the value of acceleration for each block.
Formula used:
${{F}_{net}}=ma$
Complete answer:
A free body diagram is a labelled diagram which depicts every force acting on a body and is used to study a body in a system individually. It is used to alienate a body from a system and study its motion.
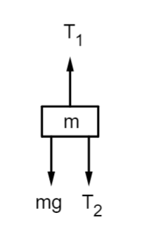
Now, studying the lower block individually. The free body diagram of the lower block can be seen as,
Here, ${{T}_{2}}$ is the tension due to the lower spring constant $2k$ and $\text{g}$ is acceleration due to gravity. The equation of motion at equilibrium can be written as,
${{T}_{2}}=\left( 2m \right)\text{g}$
Now, let us look at the free body diagram of the upper block.
Here, ${{T}_{1}}$ is tension due to the upper spring constant $k$. The equation of motion at equilibrium can be written as,
${{T}_{1}}={{T}_{2}}+mg$
Substitute the value of ${{T}_{2}}$ as obtained above. Thus,
$\begin{align}
& {{T}_{1}}=2m\text{g}+m\text{g} \\
& =3m\text{g}
\end{align}$
Now, just after the lower spring is cut, the lower mass falls below under the action of gravity and there is now no tension acting on the block due to spring. The free body diagram of lower block can now be seen as,
\[\begin{align}
& \left( 2m \right)\text{g}=\left( 2m \right){{a}_{\text{lower}}} \\
& {{a}_{\text{lower}}}=\text{g}
\end{align}\]
Thus, the lower block falls with acceleration equal to acceleration due to gravity.
Now, let us look at the motion of the upper block. The free body diagram of the upper block can be seen as,
$\begin{align}
& {{T}_{1}}-m\text{g}=m{{a}_{\text{upper}}} \\
& 3m\text{g}-m\text{g}=m{{a}_{\text{upper}}} \\
& {{a}_{\text{upper}}}=2\text{g}
\end{align}$
Thus, as soon as the lower spring is cut, ${{a}_{\text{upper}}}=2\text{g}$ and \[{{a}_{\text{lower}}}=\text{g}\].
Note:
Force due to spring is proportional to the elongation and acts in a direction opposite to the direction of stretch. Take care of the direction of tension acting on the block due to spring. As soon as the lower spring is cut, the lower block will move downwards as there is no tension acting on it now whereas the upper block will move upwards due to tension acting on it due to the upper spring. Take care of the direction of acceleration of the blocks so as to get accurate results.
Formula used:
${{F}_{net}}=ma$
Complete answer:
A free body diagram is a labelled diagram which depicts every force acting on a body and is used to study a body in a system individually. It is used to alienate a body from a system and study its motion.
Now, studying the lower block individually. The free body diagram of the lower block can be seen as,
Here, ${{T}_{2}}$ is the tension due to the lower spring constant $2k$ and $\text{g}$ is acceleration due to gravity. The equation of motion at equilibrium can be written as,
${{T}_{2}}=\left( 2m \right)\text{g}$
Now, let us look at the free body diagram of the upper block.
Here, ${{T}_{1}}$ is tension due to the upper spring constant $k$. The equation of motion at equilibrium can be written as,
${{T}_{1}}={{T}_{2}}+mg$
Substitute the value of ${{T}_{2}}$ as obtained above. Thus,
$\begin{align}
& {{T}_{1}}=2m\text{g}+m\text{g} \\
& =3m\text{g}
\end{align}$
Now, just after the lower spring is cut, the lower mass falls below under the action of gravity and there is now no tension acting on the block due to spring. The free body diagram of lower block can now be seen as,
\[\begin{align}
& \left( 2m \right)\text{g}=\left( 2m \right){{a}_{\text{lower}}} \\
& {{a}_{\text{lower}}}=\text{g}
\end{align}\]
Thus, the lower block falls with acceleration equal to acceleration due to gravity.
Now, let us look at the motion of the upper block. The free body diagram of the upper block can be seen as,
$\begin{align}
& {{T}_{1}}-m\text{g}=m{{a}_{\text{upper}}} \\
& 3m\text{g}-m\text{g}=m{{a}_{\text{upper}}} \\
& {{a}_{\text{upper}}}=2\text{g}
\end{align}$
Thus, as soon as the lower spring is cut, ${{a}_{\text{upper}}}=2\text{g}$ and \[{{a}_{\text{lower}}}=\text{g}\].
Note:
Force due to spring is proportional to the elongation and acts in a direction opposite to the direction of stretch. Take care of the direction of tension acting on the block due to spring. As soon as the lower spring is cut, the lower block will move downwards as there is no tension acting on it now whereas the upper block will move upwards due to tension acting on it due to the upper spring. Take care of the direction of acceleration of the blocks so as to get accurate results.
Recently Updated Pages
Consider an infinite distribution of point masses each class 11 physics CBSE

You are provided with the seeds of a gram wheat rice class 11 biology CBSE

Amit buys a few grams of gold at the poles as per the class 11 physics CBSE

The ratio of the number of hybrid and pure orbitals class 11 chemistry CBSE

Explain how rainwater harvesting can help in water class 11 biology CBSE

Briefly mention the mechanism of action of FSH class 11 biology CBSE

Trending doubts
What is meant by exothermic and endothermic reactions class 11 chemistry CBSE

10 examples of friction in our daily life

One Metric ton is equal to kg A 10000 B 1000 C 100 class 11 physics CBSE

1 Quintal is equal to a 110 kg b 10 kg c 100kg d 1000 class 11 physics CBSE

Difference Between Prokaryotic Cells and Eukaryotic Cells

What are Quantum numbers Explain the quantum number class 11 chemistry CBSE

