
If a colour blind man marries a normal woman who carries this trait, the progeny would be
A) All males and 50% females colour blind
B) All females and 50% males colour blind
C) All normal females but Carrier of the trait
D) 50% males and 50% females colour blind
Answer
454.5k+ views
Hint: Color blindness is an autosomal disease. It occurs only in the X-genes or the autosomal genes. A male carrying it on the X chromosome will be affected whereas a female should carry it on both of its X genes to be colour blind.
Complete answer:
The inability to differentiate between various colours is known as colour blindness. We have already mentioned that it is an autosomal disease which means it is present in chromosomes other than the sex chromosome.
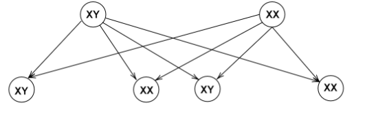
Let us now consider the above condition. So, the man is colour blind that means his gene carries the trait. Another thing is that the female is a carrier i.e. only one of its genes carries the trait for the disease. So, the progeny obtained from these two will be –
XcXc- the affected
XcY- carrier
XXc- carrier
XY- not affected
Here from the above chart, it is clearly visible that 50% males are affected and 50 % female are affected whereas rest female is carrier while the male is normal. We can clearly infer that option (D) is the correct answer.
Note:
- Deuteranopia is the more common form of red-green colour blindness and is caused by the absence of the pigment that permits green perception.
- Protanopia is caused by the absence of functional pigment for red perception.
- People with Deuteranopia or Protanopia cannot distinguish green from red, or in less severe cases, have difficulty distinguishing the two colours.
Complete answer:
The inability to differentiate between various colours is known as colour blindness. We have already mentioned that it is an autosomal disease which means it is present in chromosomes other than the sex chromosome.
Let us now consider the above condition. So, the man is colour blind that means his gene carries the trait. Another thing is that the female is a carrier i.e. only one of its genes carries the trait for the disease. So, the progeny obtained from these two will be –
XcXc- the affected
XcY- carrier
XXc- carrier
XY- not affected
Here from the above chart, it is clearly visible that 50% males are affected and 50 % female are affected whereas rest female is carrier while the male is normal. We can clearly infer that option (D) is the correct answer.
Note:
- Deuteranopia is the more common form of red-green colour blindness and is caused by the absence of the pigment that permits green perception.
- Protanopia is caused by the absence of functional pigment for red perception.
- People with Deuteranopia or Protanopia cannot distinguish green from red, or in less severe cases, have difficulty distinguishing the two colours.
Recently Updated Pages
The number of solutions in x in 02pi for which sqrt class 12 maths CBSE

Write any two methods of preparation of phenol Give class 12 chemistry CBSE

Differentiate between action potential and resting class 12 biology CBSE

Two plane mirrors arranged at right angles to each class 12 physics CBSE

Which of the following molecules is are chiral A I class 12 chemistry CBSE

Name different types of neurons and give one function class 12 biology CBSE

Trending doubts
What is 1s 2s 2p 3s 3p class 11 chemistry CBSE

Discuss the various forms of bacteria class 11 biology CBSE

An example of chemosynthetic bacteria is A E coli B class 11 biology CBSE

Name the metals and nonmetals in the first twenty class 11 chemistry CBSE

Which one of the following is not a method of soil class 11 biology CBSE

What is the nature of force between two parallel conductors class 11 physics CBSE

