
Identify the monosaccharide containing only one asymmetrical carbon.
(A) Ribulose
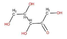
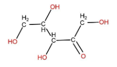
(B) Ribose
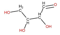
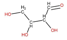
(C) Erythrose
(D) Glyceraldehyde
Answer
576.6k+ views
Hint: Asymmetrical carbon is a carbon atom which is linked to four different substituents. Such carbon containing compounds are known as optically active compounds and that carbon atom is called a chiral carbon.
Monosaccharides are those carbohydrate molecules which cannot be hydrolyzed to give simpler sugars.
Complete step by step answer:
Let’s look at the solution of the given question.
To answer this question we will look for the carbon atom which is attached to four different groups or atoms in the given compounds.
(A) A ribulose is a five carbon monosaccharide containing a ketone functional group. Its structure can be made as:
None of the carbon present is attached to four different atoms or groups. So, it doesn’t contain asymmetric carbon.
(B) A ribose is a five carbon sugar. Its d-ribose form is a component of RNA. It is found in cyclic structure but can be represented in open structure also. Its open structure can be made as:
In this also none of the carbon atoms is attached to four different atoms or groups. So, it is an incorrect choice.
(C) Erythrose is tetrose saccharide. It is a four carbon sugar. It contains an aldehyde group. Its structure can be made as:
In this also none of the carbon atoms contains a carbon atom attached to four different atoms or groups.
(D) Glyceraldehyde is a triose monosaccharide. It is a three carbon sugar containing an aldehyde group. Its structure can be made as:
In this sugar the second carbon is attached to four different atoms and groups. So, it contains the asymmetrical carbon.
Hence, the answer is option (D).
Note: A carbon which is attached to four different substituents is called an asymmetric carbon. It is also called chirality of the molecule. While looking for chiral carbon we do not consider double bonded and triple bonded carbon atoms as the number of bonds formed in these cases is less than four.
Monosaccharides are those carbohydrate molecules which cannot be hydrolyzed to give simpler sugars.
Complete step by step answer:
Let’s look at the solution of the given question.
To answer this question we will look for the carbon atom which is attached to four different groups or atoms in the given compounds.
(A) A ribulose is a five carbon monosaccharide containing a ketone functional group. Its structure can be made as:
None of the carbon present is attached to four different atoms or groups. So, it doesn’t contain asymmetric carbon.
(B) A ribose is a five carbon sugar. Its d-ribose form is a component of RNA. It is found in cyclic structure but can be represented in open structure also. Its open structure can be made as:
In this also none of the carbon atoms is attached to four different atoms or groups. So, it is an incorrect choice.
(C) Erythrose is tetrose saccharide. It is a four carbon sugar. It contains an aldehyde group. Its structure can be made as:
In this also none of the carbon atoms contains a carbon atom attached to four different atoms or groups.
(D) Glyceraldehyde is a triose monosaccharide. It is a three carbon sugar containing an aldehyde group. Its structure can be made as:
In this sugar the second carbon is attached to four different atoms and groups. So, it contains the asymmetrical carbon.
Hence, the answer is option (D).
Note: A carbon which is attached to four different substituents is called an asymmetric carbon. It is also called chirality of the molecule. While looking for chiral carbon we do not consider double bonded and triple bonded carbon atoms as the number of bonds formed in these cases is less than four.
Recently Updated Pages
Distinguish between prosthetic group and cofactors class 12 biology CBSE

The branch of biology that deals with the study of class 12 biology CBSE

Name the two beverage crops produced in India ATea class 12 social sciences CBSE

Discuss briefly the role of microbes in household class 12 biology CBSE

The power of accommodation for the normal eye is A class 12 physics CBSE

How many secondary carbon and hydrogen atoms are present class 12 chemistry CBSE

Trending doubts
What are the major means of transport Explain each class 12 social science CBSE

Which are the Top 10 Largest Countries of the World?

Draw a labelled sketch of the human eye class 12 physics CBSE

Explain sex determination in humans with line diag class 12 biology CBSE

The pH of the pancreatic juice is A 64 B 86 C 120 D class 12 biology CBSE

Explain sex determination in humans with the help of class 12 biology CBSE

