
How do you graph \[y = \sqrt {x - 1} - 3\]?
Answer
478.8k+ views
Hint: To graph \[y = \sqrt {x - 1} - 3\], we know that the parent function of the functions of the form \[f(x) = \sqrt {x - a} + b\] is \[f(x) = \sqrt x \]. So, we will start with the graph of \[y = \sqrt x \]. Then change \[x\] to \[x - 1\] to obtain \[y = \sqrt {x - 1} \]. Then we will translate the graph \[3\] units down to obtain the graph of \[y = \sqrt {x - 1} - 3\].
Complete step by step answer:
We have to graph \[y = \sqrt {x - 1} - 3\]. We can also write this as \[y - \left( { - 3} \right) = \sqrt {x - 1} \].
The parent function of the functions of the form \[f(x) = \sqrt {x - a} + b\] is \[f(x) = \sqrt x \].
Here, the domain of \[f(x) = \sqrt x \] is \[x \geqslant 0\] and the range is \[y \geqslant 0\].
We can graph \[y = \sqrt x \] as follows:
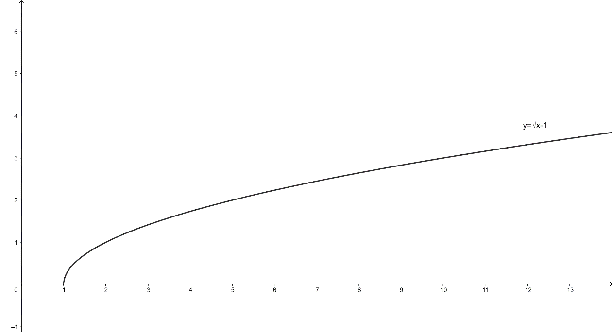
Now we will move the graph of \[y = \sqrt x \] by \[1\] unit to the right to obtain the graph of \[y = \sqrt {x - 1} \].
So, the graph of \[y = \sqrt {x - 1} \] is given as follows:
Now we will move the graph of \[y = \sqrt {x - 1} \] by \[3\] units down to obtain the graph of \[y = \sqrt {x - 1} - 3\].
Therefore, above graph is the required graph of \[y = \sqrt {x - 1} - 3\].
Here, the domain of \[y = \sqrt {x - 1} - 3\] is \[x \geqslant 1\] and range is \[y \geqslant - 3\].
Note:
Some rules to transform the given graph of a function that we should keep in mind are as follows:
\[(1)\] \[f(x + a)\] horizontally shifts the graph of \[f(x)\] to the left by \[a\] units.
\[(2)\] \[f(x - a)\] horizontally shifts the graph of \[f(x)\] to right by \[a\] units.
\[(3)\] \[f(x) + a\] vertically shifts the graph of \[f(x)\] upward by \[a\] units.
\[(4)\] \[f(x) - a\] vertically shifts the graph of \[f(x)\] downward by \[a\] units.
\[(5)\] \[af(x)\] vertically stretches the graph of \[f(x)\] by a factor of \[a\] units.
\[(6)\] \[\dfrac{{f(x)}}{a}\] vertically shrinks the graph of \[f(x)\] by a factor of \[a\] units.
\[(7)\] \[f(ax)\] horizontally shrinks the graph of \[f(x)\] by a factor of \[a\] units.
\[(8)\] \[f(ax)\] horizontally stretches the graph of \[f(x)\] by a factor of \[a\] units.
Complete step by step answer:
We have to graph \[y = \sqrt {x - 1} - 3\]. We can also write this as \[y - \left( { - 3} \right) = \sqrt {x - 1} \].
The parent function of the functions of the form \[f(x) = \sqrt {x - a} + b\] is \[f(x) = \sqrt x \].
Here, the domain of \[f(x) = \sqrt x \] is \[x \geqslant 0\] and the range is \[y \geqslant 0\].
We can graph \[y = \sqrt x \] as follows:
Now we will move the graph of \[y = \sqrt x \] by \[1\] unit to the right to obtain the graph of \[y = \sqrt {x - 1} \].
So, the graph of \[y = \sqrt {x - 1} \] is given as follows:
Now we will move the graph of \[y = \sqrt {x - 1} \] by \[3\] units down to obtain the graph of \[y = \sqrt {x - 1} - 3\].
Therefore, above graph is the required graph of \[y = \sqrt {x - 1} - 3\].
Here, the domain of \[y = \sqrt {x - 1} - 3\] is \[x \geqslant 1\] and range is \[y \geqslant - 3\].
Note:
Some rules to transform the given graph of a function that we should keep in mind are as follows:
\[(1)\] \[f(x + a)\] horizontally shifts the graph of \[f(x)\] to the left by \[a\] units.
\[(2)\] \[f(x - a)\] horizontally shifts the graph of \[f(x)\] to right by \[a\] units.
\[(3)\] \[f(x) + a\] vertically shifts the graph of \[f(x)\] upward by \[a\] units.
\[(4)\] \[f(x) - a\] vertically shifts the graph of \[f(x)\] downward by \[a\] units.
\[(5)\] \[af(x)\] vertically stretches the graph of \[f(x)\] by a factor of \[a\] units.
\[(6)\] \[\dfrac{{f(x)}}{a}\] vertically shrinks the graph of \[f(x)\] by a factor of \[a\] units.
\[(7)\] \[f(ax)\] horizontally shrinks the graph of \[f(x)\] by a factor of \[a\] units.
\[(8)\] \[f(ax)\] horizontally stretches the graph of \[f(x)\] by a factor of \[a\] units.
Recently Updated Pages
Two men on either side of the cliff 90m height observe class 10 maths CBSE

What happens to glucose which enters nephron along class 10 biology CBSE

Cutting of the Chinese melon means A The business and class 10 social science CBSE

Write a dialogue with at least ten utterances between class 10 english CBSE

Show an aquatic food chain using the following organisms class 10 biology CBSE

A circle is inscribed in an equilateral triangle and class 10 maths CBSE

Trending doubts
Why is there a time difference of about 5 hours between class 10 social science CBSE

Write a letter to the principal requesting him to grant class 10 english CBSE

What is the median of the first 10 natural numbers class 10 maths CBSE

The Equation xxx + 2 is Satisfied when x is Equal to Class 10 Maths

Which of the following does not have a fundamental class 10 physics CBSE

State and prove converse of BPT Basic Proportionality class 10 maths CBSE

