
How can I read distance-time graphs?
Answer
541.8k+ views
Hint: The distance time graph represents the motion of the object/body in terms of direction and the slope of this graph givens the value of the speed of the object/body. The x-axis represents the time taken and the y-axis represents the distance covered.
Formula used:
\[s=\dfrac{d}{t}\]
Complete answer:
The formula that relates the parameters of the motion, such as, the distance and time is given as follows.
\[s=\dfrac{d}{t}\]
Where s is the speed, d is the distance and t is the time.
The distance represents how far the object/body moves and time represents the time taken by the object/body to cover the distance.
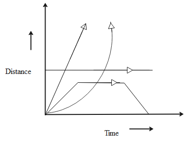
The distance time graph represents the motion of the object/body in terms of direction. Consider, in case, if the graph is steep, then, the motion of the object/body is increasing at a constant rate. If the graph is a straight line parallel to the time axis, then the motion is said to be constant. In case, the graph is increasing exponentially, then, the speed is increasing. A downward directed graph represents the decreasing speed. The uniform motion of the body/object is represented by a straight line.
In the above graph, the units of the parameter time can be, seconds, minutes or hours and the units of the parameter distance can be, cm, meters, kilometre, etc.
\[\therefore \]The distance time graph represents the speed of the object/body.
Note:
The different forms of distance time graph, that is, a steep line, exponentially increasing and decreasing lines, a horizontal line, a vertical line, represents the different forms of the motion of object/body.
Formula used:
\[s=\dfrac{d}{t}\]
Complete answer:
The formula that relates the parameters of the motion, such as, the distance and time is given as follows.
\[s=\dfrac{d}{t}\]
Where s is the speed, d is the distance and t is the time.
The distance represents how far the object/body moves and time represents the time taken by the object/body to cover the distance.
The distance time graph represents the motion of the object/body in terms of direction. Consider, in case, if the graph is steep, then, the motion of the object/body is increasing at a constant rate. If the graph is a straight line parallel to the time axis, then the motion is said to be constant. In case, the graph is increasing exponentially, then, the speed is increasing. A downward directed graph represents the decreasing speed. The uniform motion of the body/object is represented by a straight line.
In the above graph, the units of the parameter time can be, seconds, minutes or hours and the units of the parameter distance can be, cm, meters, kilometre, etc.
\[\therefore \]The distance time graph represents the speed of the object/body.
Note:
The different forms of distance time graph, that is, a steep line, exponentially increasing and decreasing lines, a horizontal line, a vertical line, represents the different forms of the motion of object/body.
Recently Updated Pages
Master Class 10 Computer Science: Engaging Questions & Answers for Success

Master Class 10 General Knowledge: Engaging Questions & Answers for Success

Master Class 10 English: Engaging Questions & Answers for Success

Master Class 10 Social Science: Engaging Questions & Answers for Success

Master Class 10 Maths: Engaging Questions & Answers for Success

Master Class 10 Science: Engaging Questions & Answers for Success

Trending doubts
What is the median of the first 10 natural numbers class 10 maths CBSE

Which women's tennis player has 24 Grand Slam singles titles?

Who is the Brand Ambassador of Incredible India?

Why is there a time difference of about 5 hours between class 10 social science CBSE

Write a letter to the principal requesting him to grant class 10 english CBSE

A moving boat is observed from the top of a 150 m high class 10 maths CBSE

